Al margen un sello con el Escudo Nacional, que dice: Estados Unidos Mexicanos.- Secretaría de Hacienda y Crédito Público.
Considerando que resulta conveniente reformar el régimen de capitalización para las sociedades nacionales de crédito, instituciones de banca de desarrollo, correspondiente a las operaciones sujetas a riesgos, tanto de mercado como de crédito, y con fundamento en lo dispuesto por los artículos 13 de la Ley Orgánica de Nacional Financiera; 12 de la Ley Orgánica del Banco Nacional de Comercio Exterior; 12 y 33 de la Ley Orgánica del Sistema Banrural; 13 de la Ley Orgánica del Banco Nacional de Obras y Servicios Públicos; 35 de la Ley Orgánica del Banco Nacional del Ejército, Fuerza Aérea y Armada; 50, párrafo cuarto y décimo primero transitorio de la Ley de Instituciones de Crédito; y 31 fracción VII de la Ley Orgánica de la Administración Pública Federal y en ejercicio de las atribuciones que me confieren las fracciones XX y XXXIV del artículo 6o. del Reglamento Interior de la Secretaría de Hacienda y Crédito Público, he tenido a bien expedir las siguientes:
PRIMERA.- Las Sociedades Nacionales de Crédito, Instituciones de Banca de Desarrollo deberán mantener un capital neto en relación con los riesgos de mercado y de crédito en que incurran en su operación, que no podrá ser inferior a la cantidad que resulte de sumar los requerimientos de capital por ambos tipos de riesgo, en términos de las presentes Reglas.
Para los efectos de las presentes Reglas, se entenderá por:
I.1. Instituciones, a las Sociedades Nacionales de Crédito, Instituciones de Banca de Desarrollo;
I.2. Secretaría, a la Secretaría de Hacienda y Crédito Público;
I.3. Comisión, a la Comisión Nacional Bancaria y de Valores;
I.4. UDIS, a las unidades de inversión;
I.5. Ley, a la Ley de Instituciones de Crédito;
I.6. Reglas, a las Reglas para los Requerimientos de Capitalización de las Sociedades Nacionales de Crédito, Instituciones de Banca de Desarrollo;
I.7. INPC, al Indice Nacional de Precios al Consumidor, y
I.8. Operaciones, a las operaciones activas, operaciones pasivas, operaciones causantes de pasivo contingente y otras operaciones.
Para los efectos de las presentes Reglas, todas las referencias sobre gradualidad, corresponderán al primer día del año que corresponda.
SEGUNDA.- Reconocimiento de operaciones.
II.1. Se incluirán las operaciones a partir de la fecha en que se concerten, independientemente de la fecha de liquidación, entrega o vigencia, según sea el caso.
II.2. Se considerará que se ha transferido la propiedad de un activo, y que por lo tanto éste no tendrá requerimientos de capitalización de acuerdo con lo establecido en las presentes Reglas, siempre que se cumplan todas y cada una de las siguientes condiciones:
a) Que los activos transferidos, así como los derechos y riesgos relacionados, sean aislados de la Institución que los transfiere;
b) Que la entidad que recibe los activos obtenga el derecho sin restricción alguna para negociarlos o intercambiarlos; o en el caso de "esquemas de bursatilización", que los tenedores de los valores emitidos por la entidad que recibe los activos, obtengan el derecho de intercambiar o negociar dichos valores, y
c) Que la Institución que transfiere los activos no mantenga el control sobre los mismos a través de:
i. Acuerdos que la obliguen o faculten a readquirir la propiedad o redimir los activos antes de su vencimiento. Se entenderá que la Institución mantiene el control efectivo sobre los mismos cuando se cumplan las características siguientes:
- Que la Institución que transfiere los activos deba o pueda readquirir la propiedad de los mismos, u otros activos que tengan características similares en cuanto a tipo, plazo de vencimiento, tasa de interés, colateral y obligado principal, entre otras;
- Que se establezca un precio determinado o una fórmula para readquirir la propiedad o redimir los activos;
- Que el acuerdo se establezca como parte o complemento de una operación de transferencia, y
- Que la entidad que recibe los activos transferidos no pueda negociarlos o intercambiarlos durante la vigencia de la operación.
ii. Contratos para readquirir la propiedad de los activos transferidos, que restrinjan el derecho de la entidad que recibe los activos, de negociarlos o intercambiarlos, conforme a lo establecido en el inciso b) anterior.
TERCERA.- Valuación de operaciones.
Para los efectos de las presentes Reglas, las operaciones deberán ser valuadas conforme a los criterios que en materia contable establece la Comisión.
CUARTA.- Requerimientos de Capitalización por riesgos de mercado.
IV.1. Clasificación de operaciones.
Las instituciones deberán clasificar sus operaciones en atención al riesgo de mercado conforme a lo siguiente:
IV.11. Operaciones en moneda nacional, con tasa de interés nominal o con rendimiento referido a ésta.
IV.12. Operaciones en UDIS, así como en moneda nacional con tasa de interés real o con rendimiento referido a ésta.
IV.13. Operaciones en divisas o indizadas a tipos de cambio, con tasa de interés.
IV.14. Operaciones en UDIS, así como en moneda nacional con rendimiento referido al INPC.
IV.15. Operaciones en divisas o indizadas a tipos de cambio.
IV.16. Operaciones con acciones y sobre acciones, o cuyo rendimiento esté referido a la variación en el precio de una acción, de una canasta de acciones o de un índice accionario.
IV.2 Aspectos procedimentales.
Para efectos de los cálculos a que se refiere el numeral IV.3, se procederá conforme a lo siguiente:
IV.21. Las operaciones activas se considerarán con signo positivo y las pasivas con signo negativo.
IV.22. En las operaciones de reporto se tomará en cuenta el activo y pasivo originado en virtud de las mismas. Si la Institución actúa como reportadora, la cantidad de dinero a recibir computará como un activo, y los títulos a entregar como un pasivo; y si la Institución actúa como reportada la cantidad de dinero a entregar computará como un pasivo, y los títulos a recibir como un activo. Las operaciones se clasificarán en los grupos referidos en IV.1, conforme a las características de las propias operaciones.
Las operaciones de reporto para colocar títulos bancarios propios se considerarán exclusivamente como un pasivo, conforme a las características de la parte pasiva de las propias operaciones.
IV.23. Las operaciones en UDIS, así como las realizadas en moneda nacional cuyo rendimiento, por tasa de interés o premio, esté referido al INPC y/o a tasas de interés reales, computarán simultáneamente en los grupos IV.12. y IV.14.
Las operaciones en divisas o indizadas a tipos de cambio con rendimiento referido a una tasa de interés, computarán simultáneamente en los grupos IV.13. y IV.15. Se entenderán como operaciones indizadas a tipos de cambio aquellas cuya indización del principal se establezca en forma directa o indirectamente a través de la tasa de interés o premio.
IV.24. En las operaciones de futuros y contratos adelantados sobre tasas de interés nominales en moneda nacional se tomará en cuenta el activo y pasivo originado en virtud de las mismas. En las de compra, la parte activa computará en el grupo IV.11. con vencimiento igual al término del contrato más el plazo del instrumento subyacente, y la parte pasiva en el mismo grupo IV.11. con vencimiento igual al término del contrato; y en las de venta, la parte activa computará en el grupo IV.11. con vencimiento igual al término del contrato, y la parte pasiva en el mismo grupo IV.11. con vencimiento igual al término del contrato más el plazo del instrumento subyacente.
En las operaciones de futuros y contratos adelantados sobre el nivel del INPC se tomará en cuenta el activo y pasivo originado en virtud de las mismas. En las de compra, la parte activa computará al mismo tiempo en los grupos IV.12. y IV.14. con vencimiento igual al término del contrato, y la parte pasiva en el grupo IV.11. con vencimiento igual al término del contrato; y en las de venta, la parte activa computará en el grupo IV.11., con vencimiento igual al término del contrato, y la parte pasiva en los grupos IV.12. y IV.14. con vencimiento igual al término del contrato.
En las operaciones de futuros y contratos adelantados de pesos se tomará en cuenta el activo y pasivo originado en virtud de las mismas. En las de compra, la parte activa (los pesos a recibir) computará en el grupo IV.11. con vencimiento igual al término del contrato, y la parte pasiva (los dólares de los EE.UU.A. a entregar) computará al mismo tiempo en los grupos IV.13. y IV.15. con vencimiento igual al término del contrato; y en las de venta, la parte activa computará al mismo tiempo en los grupos IV.13. y IV.15. con vencimiento igual al término del contrato, y la parte pasiva en el grupo IV.11. con vencimiento igual al término del contrato.
En las operaciones de futuros y contratos adelantados de dólares de los EE.UU.A., se tomará en cuenta el activo y pasivo originado en virtud de las mismas. En las de compra, la parte activa (los dólares de los EE.UU.A. a recibir) computará al mismo tiempo en los grupos IV.13. y IV.15., con vencimiento igual al término del contrato, y la parte pasiva (la moneda nacional a entregar) computará en el grupo IV.11. con vencimiento igual al término del contrato; y en las de venta, la parte activa computará en el grupo IV.11. con vencimiento igual al término del contrato, y la parte pasiva en los grupos IV.13. y IV.15. con vencimiento igual al término del contrato.
En las operaciones de futuros y contratos adelantados de divisas y de metales preciosos, se tomará en cuenta el activo y pasivo originado en virtud de las mismas. La parte activa (la divisa o el metal a recibir) computará al mismo tiempo en los grupos IV.13. y IV.15. con vencimiento igual al término del contrato, y la parte pasiva (la divisa o el metal a entregar) computará al mismo tiempo en los grupos IV.13. y IV.15. con vencimiento igual al término del contrato.
Las operaciones de futuros y contratos adelantados, sobre acciones, computarán formando parte de la respectiva posición de acciones, por un importe igual al de los títulos subyacentes. Asimismo se tomará en cuenta el activo y pasivo originado en virtud de las mismas. En las de compra, las acciones a recibir computarán como un activo, y el dinero a entregar como un pasivo con vencimiento igual al término del contrato; y en las de venta, el dinero a recibir como un activo con vencimiento igual al término del contrato, y las acciones a entregar como un pasivo.
Las operaciones de futuro y contratos adelantados, sobre canastas de acciones e índices accionarios, computarán formando parte del portafolio accionario, como si se tratara de una acción más, por un importe igual al de las acciones o índices subyacentes. Asimismo se tomará en cuenta el activo y pasivo originado en virtud de las mismas. En las de compra, la canasta de acciones o índice accionario a recibir computará como un activo, y el dinero a entregar como un pasivo con vencimiento igual al término del contrato; y en las de venta, el dinero a recibir como un activo con vencimiento igual al término del contrato, y la canasta de acciones o índice accionario a entregar como un pasivo.
En las operaciones de futuros y contratos adelantados, distintas a las ya señaladas, se tomará en cuenta el activo y pasivo originado en virtud de las mismas, y se clasificarán en los grupos señalados en IV.1 con importe igual y conforme a las características de los títulos o instrumentos subyacentes.
Las operaciones de opciones y títulos opcionales (warrants), sobre acciones, computarán formando parte de la respectiva posición de acciones, activa o pasiva, según se trate, por un importe igual al de los títulos subyacentes conforme a IV.36.13., y las mismas operaciones sobre canastas de acciones e índices accionarios, computarán formando parte del portafolio accionario, como si se tratara de una acción más, por un importe igual al de las acciones o índices subyacentes conforme a IV.36.13.
Las operaciones de opciones de tasas, divisas, acciones, índices y aquellas que se realizan con fines de negociar o cubrir riesgos crediticios, entre otras, computarán como una posición activa y/o pasiva según se trate, y se clasificarán en los grupos señalados en IV.1 por el importe que resulte de multiplicar el valor de los títulos o instrumentos subyacentes de que se trate, por el número de títulos o instrumentos subyacentes que ampare la opción y por la "Delta" de la opción. El valor de la "Delta" será para el caso de opciones listadas, la que publique el mercado en donde éstas coticen, y en el caso de que no sea publicada o que se trate de opciones no listadas, la "Delta" se obtendrá de acuerdo al modelo de valuación que la propia Institución utilice.
IV.25. Las operaciones de préstamo de valores computarán como un activo si la Institución actúa como prestamista, y como un pasivo si actúa como prestataria. En ambos casos, el importe de la operación será igual al del título subyacente y se clasificará en los grupos señalados en IV.1 conforme a las características del propio título subyacente.
IV.26. En las operaciones de intercambio de rendimientos ("swap") de tasas, divisas, y aquellas que se realizan con fines de intercambiar riesgos crediticios, entre otras, se tomarán en cuenta los activos y pasivos originados en virtud de las mismas, y se clasificarán en los grupos señalados en IV.1 con importe igual y conforme a las características de los títulos o instrumentos subyacentes.
IV.27. Los paquetes de instrumentos derivados deberán computarse como cada instrumento derivado incluido o implícito en el contrato, en forma independiente. Esto implica que se deberán desagregar todos los instrumentos derivados incorporados en la operación y, una vez separados, se computarán de forma individual de conformidad con IV.2 según se trate.
IV.28. Las operaciones estructuradas, entendiéndose por éstas a aquellos instrumentos en los cuales se tiene un contrato principal, el cual contenga una parte referida a activos o pasivos que no son derivados (generalmente operaciones de crédito, emisiones de bonos u otros instrumentos de deuda) y otra parte representada por uno o más instrumentos derivados (generalmente opciones o swaps), computarán por separado, observando para tales efectos las disposiciones aplicables en IV.2 según se trate.
IV.29. Las inversiones en acciones de sociedades de inversión, que no correspondan al capital fijo, computarán en los grupos referidos en IV.1, según corresponda, conforme a las características de los activos y, en su caso, pasivos de la respectiva sociedad de inversión, determinando el importe para cada activo o pasivo en función de la proporción de tenencia de acciones, de la sociedad de que se trate, respecto de las acciones totales de la misma. En el caso de valores adquiridos por dichas sociedades mediante operaciones de reporto, para los efectos de estas Reglas se considerarán como una inversión que debe clasificarse en los grupos referidos en IV.1, conforme a las características de las respectivas operaciones de reporto en lugar de las características de los títulos de que se trate. También computarán en los términos de este párrafo las inversiones, bajo cualquier modalidad de participación, en fondos de inversión con naturaleza similar a la de las referidas sociedades de inversión.
IV.3. Capital neto requerido.
Los requerimientos de capital neto de las instituciones, por su exposición a riesgos de mercado, se determinarán conforme a lo siguiente:
IV.31. Operaciones en moneda nacional con tasa de interés nominal o rendimiento referido a ésta.
IV.31.1 Plazos.
Se determinará el plazo de cada operación.
IV.31.11. Tratándose de operaciones a tasa fija, se considerará el número de días naturales que haya entre el último día del mes que se esté computando y la fecha de vencimiento del título o contrato o, en su caso, la del instrumento subyacente. Para el caso de instrumentos de deuda con cupones a tasa fija el plazo del instrumento será sustituido por la "Duración" calculada conforme a los lineamientos previstos en el Anexo B de las presentes Reglas.
IV.31.12. En operaciones con tasa revisable o cuyo rendimiento esté referido a alguna tasa de interés nominal, se considerará para cada título o contrato el número de días naturales que haya entre el último día del mes que se esté computando y la fecha de revisión o de ajuste de la tasa o, en su caso, la de vencimiento cuando ésta sea anterior a aquélla.
IV.31.2 Compensación y requerimientos de capital.
IV.31.21. Las operaciones iguales de naturaleza contraria se compensarán por el monto en que una cubra a la otra. Al efecto, las operaciones deberán estar referidas al mismo título o instrumento y tener igual plazo según lo señalado en IV.31.1.
IV.31.22. Cada operación o la parte no compensada conforme a IV.31.21., se asignará, dependiendo del plazo que se determine conforme a IV.31.1, a alguna de las bandas que se indican en el cuadro 1 siguiente:
| ZONA | BANDAS | COEFICIENTE DE CARGO POR RIESGO DE MERCADO (PORCENTAJE) |
| 1 | 1) 1 a 7 días 2) 8 días a 1 mes 3) más de 1 mes a 3 meses 4) más de 3 meses a 6 meses | 0.1170 0.5569 1.7489 3.9606 |
| 2 | 5) más de 6 meses a 1 año 6) más de 1 año a 2 años 7) más de 2 años a 3 años | 4.5297 6.3000 7.3500 |
| 3 | 8) más de 3 años a 4 años 9) más de 4 años a 5 años 10) más de 5 años a 7 años 11) más de 7 años a 9 años 12) más de 9 años | 7.9000 8.2000 8.4500 8.6000 8.7000 |
IV.31.23. Se sumarán por separado los activos y los pasivos asignados a cada banda, y se aplicará a cada una de las cantidades así obtenidas el respectivo coeficiente de cargo por riesgo de mercado a que se refiere el cuadro 1. Los resultados de cada banda, positivo y negativo, se compensarán sumándolos algebraicamente, y el importe obtenido será la "posición ponderada neta de cada banda".
IV.31.24. El requerimiento de capital será la suma de los requerimientos que a continuación se indican, los cuales se calcularán conforme al orden siguiente:
IV.31.24.1. Por posición ponderada neta total.
Se compensarán todas las "posiciones ponderadas netas de las bandas", activas (positivas) con pasivas (negativas), sumándolas algebraicamente. El valor absoluto del resultado así obtenido será el requerimiento de capital por posición ponderada neta total.
La compensación a que haya lugar conforme al párrafo anterior, se efectuará, hasta el monto máximo compensable, en el orden siguiente: primero entre bandas de la misma zona, después entre bandas de zonas contiguas y por último, entre bandas de zonas separadas.
IV.31.24.2. Por compensación al interior de las bandas.
Al monto compensado, en valor absoluto, al interior de cada banda, en términos de IV.31.23., se le aplicará un quince por ciento. La suma de los resultados así obtenidos será el requerimiento de capital por compensación al interior de las bandas.
IV.31.24.3. Por compensación entre bandas de una misma zona.
Al monto compensado, en valor absoluto, de las "posiciones ponderadas netas de las bandas", al interior de cada zona, en los términos de IV.31.24.1, se le aplicará el cuarenta por ciento tratándose de la zona 1 y el treinta por ciento tratándose de las zonas 2 y 3. La suma de los resultados así obtenidos será el requerimiento de capital por compensación al interior de las zonas.
IV.31.24.4 Por compensación entre bandas de distintas zonas.
Al monto compensado, en valor absoluto, de las "posiciones ponderadas netas de las bandas", entre zonas, en los términos de IV.31.24.1, se le aplicará el cuarenta por ciento si se trata de compensación entre zonas contiguas y el ciento cincuenta por ciento si se trata de compensación entre zonas separadas. La suma de los resultados así obtenidos será el requerimiento de capital por compensación entre zonas.
IV.32. Operaciones en UDIS, así como en moneda nacional con tasa de interés real o rendimiento referido a ésta.
IV.32.1. Plazos, compensación y requerimientos de capital.
Para calcular el capital requerido por este tipo de operaciones se aplicará el mismo procedimiento indicado en IV.31., utilizando al efecto el cuadro 2 siguiente.
Para efectos de lo previsto en IV.31.21., se entenderá que las operaciones son de igual plazo cuando les vaya a ser aplicable en su liquidación el mismo nivel del INPC.
| ZONA | BANDAS | COEFICIENTE DE CARGO POR RIESGO DE MERCADO (PORCENTAJE) |
| 1 | 1) 1 a 7 días 2) 8 días a 1 mes 3) más de 1 mes a 3 meses 4) más de 3 meses a 6 meses | 0.0000 0.3219 0.6877 1.2866 |
| 2 | 5) más de 6 meses a 1 año 6) más de 1 año a 2 años 7) más de 2 años a 3 años | 2.2053 2.9888 4.5248 |
| 3 | 8) más de 3 años a 4 años 9) más de 4 años a 5 años 10) más de 5 años a 7 años 11) más de 7 años a 9 años 12) más de 9 años | 5.3795 6.0731 6.1924 7.2153 7.5889 |
IV.33. Operaciones en divisas o indizadas a tipos de cambio, con tasa de interés.
IV.33.1. Plazos, compensación y requerimientos de capital.
Para calcular el capital requerido por este tipo de operaciones se aplicará el mismo procedimiento indicado en IV.31., utilizando al efecto el cuadro 3 siguiente:
| ZONA | BANDAS | COEFICIENTE DE CARGO POR RIESGO DE MERCADO (PORCENTAJE) |
| 1 | 1) 1 a 7 días 2) 8 días a 1 mes 3) más de 1 mes a 3 meses 4) más de 3 meses a 6 meses | 0.0000 0.1787 0.5388 1.1172 |
| 2 | 5) más de 6 meses a 1 año 6) más de 1 año a 2 años 7) más de 2 años a 3 años | 1.9755 2.8323 4.2224 |
| 3 | 8) más de 3 años a 4 años 9) más de 4 años a 5 años 10) más de 5 años a 7 años 11) más de 7 años a 9 años 12) más de 9 años | 5.1414 6.0731 6.1924 7.2153 7.5889 |
IV.34. Operaciones en UDIS, así como en moneda nacional con rendimiento referido al INPC.
IV.34.1. Posiciones.
Se determinará la posición neta total, sumando algebraicamente el importe de las operaciones.
IV.34.2. Requerimiento de capital.
El requerimiento de capital será la cantidad que resulte de aplicar, al valor absoluto de la posición neta total, un coeficiente de cargo por riesgo de mercado equivalente al 1.25 por ciento del porcentaje de incremento en el INPC correspondiente a los últimos doce periodos mensuales, anteriores al mes que se esté computando.
IV.35. Operaciones en divisas o indizadas a tipos de cambio.
IV.35.1. Posiciones.
Se determinará la posición neta corta (negativa) o neta larga (positiva) por cada divisa. Para determinar dichas posiciones se tomarán en cuenta los activos y pasivos que señale el Banco de México en las disposiciones correspondientes, considerando a los metales preciosos como una divisa más.
IV.35.2. Se sumarán por un lado las posiciones netas cortas y, por el otro, las posiciones netas largas.
IV.35.3. Requerimiento de capital.
El requerimiento de capital será la cantidad que resulte de aplicar un coeficiente de cargo por riesgo de mercado del 12.0 por ciento al mayor valor absoluto de las sumas de las posiciones netas obtenidas conforme a IV.35.2.
IV.36. Operaciones con acciones y sobre acciones, o cuyo rendimiento esté referido a la variación en el precio de una acción, de una canasta de acciones o de un índice accionario.
Para efectos de los cálculos a que se refiere el presente numeral, no se incluirán las inversiones en: acciones de entidades financieras del país y del exterior; acciones representativas del capital fijo de sociedades de inversión; acciones de sociedades operadoras de sociedades de inversión; acciones de las bolsas de valores e instituciones para el depósito de valores; acciones de inmobiliarias bancarias y de empresas que les presten servicios complementarios o auxiliares en su administración o en la realización de su objeto a que se refiere el artículo 88 de la Ley, así como en otro tipo de acciones que deban restarse del capital contable al determinar el capital básico referido en VI.1.
IV.36.1. Precio.
IV.36.11. Acciones.
Las acciones computarán al valor que se obtenga en la fecha de cómputo conforme a la regla Tercera. Se considerarán en este grupo las inversiones en American Depositary Receipts (ADR's) y en otros títulos que la Comisión considere como similares a éstos.
IV.36.12. Préstamos, futuros, contratos adelantados y swaps, sobre acciones.
Las operaciones de préstamo, futuros, contratos adelantados e intercambio de rendimientos (swap), sobre acciones, computarán como una posición equivalente a la de las acciones subyacentes, al valor que se determine conforme a IV.36.11.
Las operaciones de futuros, contratos adelantados e intercambio de rendimientos (swap), sobre canastas de acciones o índices accionarios, computarán como una acción más, al valor que resulte de multiplicar el valor de una unidad de la canasta o índice por el número de unidades que ampare el futuro o contrato adelantado. El valor de una unidad será el que se obtenga de ponderar la composición accionaria de una unidad por los correspondientes valores de mercado.
Sin perjuicio de lo anterior, las instituciones que así lo juzguen conveniente podrán computar las referidas canastas o índices accionarios determinando una posición por cada acción subyacente de que estén conformados las canastas o índices.
IV.36.13. Opciones y títulos opcionales, sobre acciones.
Las opciones y títulos opcionales, sobre acciones, computarán como una posición equivalente a la de las acciones subyacentes, al valor que resulte de multiplicar, el valor de mercado de las acciones de que se trate, por el número de acciones que ampare la opción o título opcional y por la "Delta" de la opción.
Las operaciones de opciones y títulos opcionales sobre canastas de acciones o índices accionarios, computarán como una acción más, al valor que resulte de multiplicar, el valor de una unidad de la canasta o índice, por el número de unidades que ampare la opción y por la "Delta" de la opción. El valor de una unidad será el que se obtenga de ponderar la composición accionaria de una unidad por los correspondientes valores de mercado.
Sin perjuicio de lo anterior, las instituciones que así lo juzguen conveniente podrán computar las referidas canastas o índices accionarios determinando una posición por cada acción subyacente de que estén conformados las canastas o índices.
IV.36.14. Acciones de sociedades de inversión comunes, que no correspondan al capital fijo.
Las inversiones de "portafolio" en acciones de sociedades de inversión comunes, computarán como diversas posiciones individuales, una por cada serie accionaria de que esté conformado el portafolio de la sociedad de inversión, al valor que resulte conforme a lo señalado en IV.36.11. o IV.36.13., según se trate. Al determinar el valor de las acciones se considerará como número de cada una de éstas, el que resulte de multiplicar, el número total de cada serie accionaria que forme parte de la sociedad de inversión de que se trate, por el porcentaje de participación de la Institución respecto del valor total de la sociedad de inversión. En su caso, la parte de las sociedades de inversión, invertida en instrumentos de deuda, computarán conforme a lo señalado en IV.29.
IV.36.2. Posiciones.
IV.36.21. Posición neta por cada serie accionaria.
Se determinará la posición neta por cada serie accionaria, larga o corta, sumando algebraicamente las posiciones activas y pasivas de cada una de ellas que se obtengan conforme a IV.36.1.
IV.36.22. Posición total larga y total corta.
Se determinará, en cada caso, la posición total larga y la total corta, sumando las posiciones netas por cada serie accionaria, largas o cortas según se trate, que se obtengan conforme a IV.36.21.
IV.36.23. Posición neta del portafolio.
Se determinará la posición neta del portafolio accionario, sumando algebraicamente las posiciones netas de las acciones que se obtengan conforme a IV.36.21.
IV.36.3. Determinación del Coeficiente Beta Ponderado de la Posición Total Larga y de la Posición Total Corta.
El Coeficiente Beta Ponderado de la Posición Total Larga y de la Posición Total Corta se determinarán dividiendo la suma de los resultados que se obtengan al multiplicar la posición neta de cada serie accionaria por el correspondiente coeficiente Beta publicado en el "Boletín Bursátil", entre el monto de la respectiva posición total conforme se establece en el Anexo "A". Al efectuar este cálculo, a las acciones de baja, mínima y nula bursatilidad, a las no cotizadas en bolsa, a las del Mercado de la Pequeña y Mediana Empresa, a las cotizadas en mercados extranjeros y a las que hayan visto suspendida su cotización, se les aplicará un coeficiente de 1 en sustitución del Coeficiente Beta.
Para efectos del cálculo del párrafo anterior y sin perjuicio de lo señalado en el tercer párrafo de IV.36.12. y IV.36.13., en el caso de los futuros, contratos adelantados, opciones y títulos opcionales, sobre canastas de acciones e índices accionarios, que computarán individualmente como una acción más, se determinarán las respectivas "Betas", realizando una ponderación igual a la del párrafo anterior respecto del correspondiente portafolio de acciones de las canastas e índices.
Los cálculos de los dos párrafos anteriores deberán efectuarse con los respectivos coeficientes Beta relativos al día último del mes inmediato anterior al mes de que se trate.
IV.36.4. Determinación de la Diversificación del Portafolio.
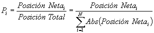
Se determinará la diversificación del portafolio mediante la aplicación de la fórmula siguiente:
¡Error!No se encuentra el origen de la referencia.
donde:
N= Número de series accionarias distintas
¡Error!No se encuentra el origen de la referencia.
Posición Neta i = Valor absoluto de la suma algebraica de la posición activa y pasiva de la serie accionaria i.
Posición Total = Suma de los valores absolutos de las posiciones netas de cada serie accionaria, largas y cortas.
Si N es cuando menos igual o mayor a 10, se tienen inversiones en cuando menos 10 series accionarias cotizadas en bolsa, tales inversiones son en cuando menos 7 emisoras y el resultado de la fórmula es igual o superior a 10, se considerará que el portafolio está suficientemente diversificado, en caso contrario se considerará que no está suficientemente diversificado.
IV.36.5. Requerimientos de capital.
IV.36.51. Por riesgo general de mercado.
El requerimiento de capital por riesgo general de mercado será el que se obtenga de aplicar un 12 por ciento al valor absoluto de la posición neta del portafolio referida en IV.36.23.
IV.36.52. Por riesgo específico.
El requerimiento de capital por riesgo específico será el que se obtenga de aplicar individualmente al valor absoluto de la posición total larga y al de la total corta, determinadas conforme IV.36.22.:
a) Un 4 por ciento o el factor que se obtenga de multiplicar por 0.08 el respectivo coeficiente Beta ponderado de la posición, el que resulte superior, tratándose de portafolios suficientemente diversificados;
b) Un 8 por ciento o el factor que se obtenga de multiplicar por 0.11 el respectivo coeficiente Beta ponderado de la posición, el que resulte superior, tratándose de portafolios no suficientemente diversificados.
Para estos efectos, el coeficiente Beta ponderado y la diversificación del portafolio, serán los que se determinen conforme a IV.36.3 y IV.36.4, respectivamente.
IV.36.53. Por riesgo de liquidez.
El requerimiento de capital por riesgo de liquidez será el que se obtenga de aplicar un 4 por ciento al valor absoluto de las posiciones netas por cada serie accionaria, activas y pasivas, determinadas conforme a IV.36.21., relativas a las acciones de baja, mínima y nula bursatilidad, a las no cotizadas en bolsa, a las del Mercado de la Pequeña y Mediana Empresa y a las que hayan visto suspendida su cotización.
IV.36.6. Programas de capitalización de deuda aprobados por la Secretaría.
La Secretaría, oyendo la opinión del Banco de México, podrá establecer requerimientos de capital menores a los establecidos en IV.36.5, para aquellas inversiones accionarias que se deriven de la capitalización de créditos, vinculadas con programas de la Banca de Desarrollo o promovidos por el Gobierno Federal, siempre y cuando la participación accionaria que resulte del conjunto de las instituciones, no sea superior al 49 por ciento del capital de cada empresa.
QUINTA.- Requerimientos de capitalización por riesgos de crédito.
V.1. Clasificación de operaciones.
Las instituciones deberán clasificar sus activos y operaciones causantes de pasivo contingente, en atención al riesgo de crédito, en alguno de los siguientes grupos:
V.11. Caja, depósitos, valores y créditos a cargo del Banco de México; valores emitidos o avalados por el Gobierno Federal; valores, títulos, obligaciones y documentos, emitidos o garantizados por el Instituto para la Protección al Ahorro Bancario, así como créditos a cargo del propio Instituto; créditos al Gobierno Federal o con garantía expresa de la Federación, registrados en la Dirección General de Crédito Público de la Secretaría; valores y créditos a cargo de o garantizados o avalados por bancos centrales o gobiernos de países cuyos títulos en el mercado estén clasificados con alto grado de inversión por alguna agencia calificadora de reconocido prestigio internacional; operaciones de futuro (mediante contratos "normalizados" y liquidaciones múltiples); compraventa al contado de divisas; operaciones de reporto, de intercambio de rendimientos (swap), contratos adelantados, préstamo de valores, opciones, operaciones estructuradas, paquetes de instrumentos derivados y operaciones contingentes realizadas con las personas señaladas en este numeral; así como las demás operaciones autorizadas que se asimilen a este grupo.
V.12. Depósitos, valores y créditos a cargo de o garantizados o avalados por entidades financieras filiales de la Institución, bancos múltiples y casas de bolsa; valores y créditos a cargo de o garantizados o avalados por bancos centrales o gobiernos de países distintos de aquéllos incluidos en V.11., cuyos títulos en el mercado estén clasificados con grado de inversión por alguna agencia calificadora de reconocido prestigio internacional; depósitos, valores y créditos a cargo de o garantizados o avalados por bancos constituidos en los países incluidos en V.11. cuyos títulos en el mercado estén clasificados con alto grado de inversión por alguna agencia calificadora de reconocido prestigio internacional; depósitos, valores y créditos a cargo de o garantizados o avalados por otras Instituciones; créditos y valores a cargo de o garantizados o avalados por fideicomisos públicos constituidos por el Gobierno Federal para el fomento económico; valores y créditos a cargo de organismos descentralizados del Gobierno Federal; operaciones de reporto de intercambio de rendimientos (swap), contratos adelantados, préstamo de valores, opciones y operaciones contingentes, operaciones estructuradas y paquetes de instrumentos derivados realizadas con las personas señaladas en este numeral; así como las demás operaciones autorizadas que se asimilen a este grupo.
V.13. Créditos, valores, y demás activos, así como las operaciones de reporto, de intercambio de rendimientos (swap), contratos adelantados, préstamo de valores, opciones, operaciones estructuradas, paquetes de instrumentos derivados y operaciones contingentes, no comprendidos en V.11. o V.12.
Los valores emitidos por el Gobierno Federal, conforme a los programas de reestructuración de créditos denominados en UDIS, acordados con el Gobierno Federal, computarán en el grupo a que correspondería cada uno de los créditos reestructurados.
Para efectos de determinar el capital neto requerido conforme a V.2, respecto de los activos clasificados en V.12. y V.13., se estará a lo siguiente: a) tratándose de la cartera de créditos, ésta computará neta de las correspondientes reservas, ya constituidas y pendientes de constituir, respecto de la parte de tales reservas que no compute como capital complementario en términos de lo dispuesto en el inciso c) del punto VI.2 de la Regla sexta, y b) referente a los valores y otros activos, éstos computarán netos de las respectivas estimaciones, depreciaciones y castigos.
V.2. Capital neto requerido
El requerimiento de capital neto de las instituciones por su exposición a riesgo de crédito se determinará aplicando el 8 por ciento a la suma de sus activos y de otras operaciones, conforme a lo siguiente:
V.21. Ponderación de riesgo
Los importes de los activos y de otras operaciones que deberán considerarse a efectos de determinar el requerimiento de capital por riesgo de crédito, serán los que se obtengan de aplicar, al monto de cada uno de los grupos citados en V.1, los porcentajes de ponderación de riesgo que se señalan a continuación:
| Grupos | Porcentajes de ponderación de riesgo |
| V.11. V.12. V.13. | 0.0 20.0 100.0 |
V.3. Aspectos procedimentales.
V.31. Conversión a riesgo crediticio.
Para los efectos previstos en V.21., previamente a la ponderación de riesgo, deberá determinarse un valor de conversión a riesgo crediticio, conforme a lo siguiente:
V.31.1. Operaciones de reporto, intercambio de rendimientos (swap), contratos adelantados, préstamo de valores y opciones.
El valor de conversión de las operaciones a que se refiere este numeral será el que se obtenga conforme a lo siguiente, sobre la base que los cálculos se efectuarán operación por operación y con precios de mercado. Asimismo, para estos efectos se aplicará, en lo conducente, lo señalado en IV.2.
V.31.11. Reportos.
Importe positivo que resulte de restar, al valor de los títulos o dinero a recibir, el valor del dinero o títulos a entregar, respectivamente, según se actúe como reportado o reportador.
V.31.12. Intercambio de rendimientos (swap).
Importe positivo que resulte de la siguiente fórmula:
donde:
DF = Importe positivo resultante de restar, al valor de mercado del subyacente a recibir (a favor), el valor de mercado del subyacente a entregar (a cargo).
G = Valor de mercado de las garantías recibidas y/o importe de las liquidaciones recibidas el día de que se trate respecto de DF.
V.31.13. Futuros y contratos adelantados.
Importe positivo que resulte de la siguiente fórmula:
donde:
G = Valor de mercado de las garantías recibidas y/o importe de las liquidaciones recibidas el día de que se trate respecto de DF.
donde:
N = Número de unidades del bien objeto de la operación.
DP = Diferencial positivo tratándose de ventas o valor absoluto del diferencial negativo tratándose de compras, que resulte de restar, al precio pactado en la operación (tipo de cambio, precio, tasa, etc.), el precio observado o implícito en operaciones celebradas el día de que se trate con vencimiento al mismo día de la operación para la que se realizan los cálculos.
V.31.14. Préstamo de valores (actuando como prestamista).
Importe positivo que resulte de restar, al valor de mercado del título prestado, el valor de mercado de las garantías recibidas.
V.31.15. Opciones y títulos opcionales (warrants).
El valor de conversión de las opciones y títulos opcionales (warrants) adquiridos, tanto de compra como de venta, será el importe equivalente a su precio de valuación.
V.31.2. Operaciones en moneda extranjera.
Tratándose de depósitos, valores, créditos y demás activos en moneda extranjera, a cargo de personas residentes en países cuya moneda no sea la de la operación, el valor de conversión a considerar será el 112.0 por ciento de tales operaciones. Este valor de conversión no se aplicará cuando se trate de las operaciones señaladas en V.31.1, de créditos a la exportación y pre-exportación así como de títulos de deuda y créditos a cargo de empresas generadoras de divisas.
V.31.3. Apertura de líneas de crédito irrevocables.
La apertura de líneas de crédito para operaciones de comercio exterior e interior, así como las que se otorguen entre sí las instituciones de crédito, dentro del esquema de operación del "Sistema de Pagos Electrónicos de Uso Ampliado", quedarán comprendidas en el grupo establecido en V.12. y tendrán un factor de conversión de 50 por ciento.
V.31.4. Préstamos para vivienda con garantía del FOVI.
Previa aprobación de los programas correspondientes por parte de la Secretaría, los préstamos para la vivienda, incluidos los que se otorguen en la etapa de construcción tendrán un factor de conversión de 50 por ciento, tanto la parte garantizada del crédito que forme parte del grupo V.12., como la parte no garantizada que forme parte del grupo V.13.
Dichos préstamos deberán contar con una garantía de cuando menos el 50 por ciento del saldo insoluto del préstamo, otorgada por el Fondo de Operación y Financiamiento Bancario a la Vivienda (FOVI), la cual se pueda ejercer por la Institución a partir de la séptima mensualidad vencida, y devengar la tasa de interés anual que el citado Fondo dé a conocer mensualmente.
V.32. Créditos con garantía de bonos "cupón cero".
Los créditos que cuenten con la garantía de un bono "cupón cero" emitido por el Gobierno Federal o por alguna institución, en los términos que autorice la Secretaría, computarán en el grupo correspondiente únicamente por la parte no garantizada por el valor presente del mencionado bono. La parte garantizada por el valor presente del bono "cupón cero" computará en el grupo V.12.
V.33. Derivados crediticios.
Para el caso de derivados crediticios las instituciones capitalizarán el riesgo crediticio de la operación de acuerdo a lo siguiente:
V.33.1. La Institución capitalizará la parte activa de la operación, la cual se obtendrá de acuerdo a IV.24 y IV.26. Dicha parte activa se clasificará considerando el riesgo de crédito de la posición subyacente de acuerdo a la disposición V.1.
V.33.2. Tratándose de operaciones de cobertura del riesgo crédito de algún activo propiedad de la Institución, se podrá compensar la parte pasiva del derivado crediticio, calculada de acuerdo con IV.24. y IV.26., con el activo que el citado derivado cubre. La posición neta activa resultante capitalizará de acuerdo a V.1. Para poder realizar dicha compensación, el bien subyacente al que está referido el derivado crediticio deberá ser un instrumento emitido por la misma contraparte que el emisor del activo cubierto y tener características similares en plazo de vencimiento, tasas de interés, colateral y prelación, entre otros. La parte activa del derivado crediticio capitalizará de acuerdo a V.33.1.
En el caso de que el bien subyacente al que está referido el derivado crediticio haya sido emitido por una contraparte distinta al emisor del activo cubierto, pero corresponda a un riesgo crédito similar en cuanto a la calificación crediticia, prelación, colateral y otros que garanticen que el comportamiento en cuanto al riesgo crédito es comparable, podrá hacerse la compensación, previa autorización de la Comisión, oyendo la opinión del Banco de México.
V.34. Créditos a entidades estatales y municipales.
Los créditos y valores a cargo de estados, municipios, incluyendo los correspondientes al Distrito Federal, y de sus organismos descentralizados, tendrán factores de ponderación por riesgo de crédito conforme a lo siguiente:
V.34.1. El 20 por ciento si se encuentran registrados ante la Dirección General de Crédito Público de la Secretaría; cuentan con al menos dos calificaciones de dos agencias calificadoras autorizadas por la Comisión, y la calificación definitiva a que se refiere el numeral V.34.5 es no menor al segundo nivel de calificación siguiente inferior a la que, en su escala, corresponda al Gobierno Federal por su deuda en pesos;
V.34.2. El 50 por ciento si se encuentran registrados ante la Dirección General de Crédito Público de la Secretaría; cuentan con al menos dos calificaciones de dos agencias calificadoras autorizadas por la Comisión; y la calificación definitiva a que se refiere el numeral V.34.5 se encuentra en el tercero o cuarto nivel de calificación siguiente inferior a la que, en su escala, corresponda al Gobierno Federal por su deuda en pesos;
V.34.3. El 115 por ciento si se encuentran registrados ante la Dirección General de Crédito Público de la Secretaría; cuentan con al menos dos calificaciones de dos agencias calificadoras autorizadas por la Comisión; y la calificación definitiva a que se refiere el numeral V.34.5 es menor al cuarto nivel de la calificación siguiente inferior a la que, en su escala, corresponda al Gobierno Federal por su deuda en pesos;
V.34.4. El 150 por ciento si no se encuentran registrados ante la Dirección General de Crédito Público de la Secretaría, o no cuentan con al menos dos calificaciones de dos agencias calificadoras autorizadas por la Comisión;
V.34.5. Para efectos de lo referido en los numerales V.34.1, V.34.2 o V.34.3, se considerará que la calificación definitiva del gobierno de que se trate dista de la del Gobierno Federal, en el número de niveles que se obtengan de:
a) promediar el número de niveles que distan las calificaciones del gobierno en cuestión respecto de las del Gobierno Federal y,
b) aplicar el promedio de niveles calculado conforme al inciso anterior, a la calificación otorgada por la agencia calificadora cuya escala de medición contenga el mayor numero de "subniveles" de calificación.
V.34.6. Los créditos y valores a cargo de municipios, o sus organismos descentralizados, que no cuenten con calificación propia, pero que estén avalados o garantizados por el Estado al que pertenezcan, tendrán el factor de ponderación que corresponda a dicho Estado por una operación similar, conforme a los numerales V.34.1, V.34.2, V.34.3 o V.34.4.
SEXTA.- Integración del capital neto.
Para efectos de estas Reglas, el capital neto estará compuesto por una parte básica y otra complementaria.
VI.1. La parte básica se integrará por:
a) El capital contable, sin incluir los instrumentos de capitalización bancaria referidos en VI.3, que conforme a los criterios contables emitidos por la Comisión se contabilicen formando parte del capital contable.
MAS:
b) Las aportaciones de capital efectuadas, contabilizadas en partidas no comprendidas en el capital contable, que se encuentren afectas a un fideicomiso cuyo único fin sea el de asignar los correspondientes recursos a la capitalización de la institución, el cual deberá prever que tales recursos no podrán destinarse a otro fin.
c) Los instrumentos de capitalización bancaria con flujos no acumulativos, es decir, en los que el emisor tenga la opción de que éstos devenguen rendimientos. Estos instrumentos deben cumplir además con las características descritas en VI.3. El monto computable como capital básico, tendrá un límite de 15 por ciento de la parte básica, sin incluir a tales instrumentos.
MENOS:
d) Las inversiones en cualquier "instrumento de deuda" cuyo pago por parte del emisor o deudor, según se trate, esté previsto que se efectúe, por haberlo así convenido, después de cubrir otros pasivos (títulos subordinados). Dentro de este tipo de inversiones se considerarán a las obligaciones subordinadas de conversión obligatoria a capital emitidas por otras entidades financieras o sociedades controladoras de grupos financieros. En los casos de esquemas de bursatilización se estará a una de las opciones siguientes:
i) En caso de que exista precio de mercado, se restará el importe positivo que resulte de la diferencia entre el valor contable del título y el correspondiente precio de mercado.
ii) En caso de que no exista un precio de mercado para los referidos títulos, se estará a la metodología de valuación de los activos bursatilizados que al efecto emita la Comisión. Dicha metodología establecerá que los requerimientos de capitalización que resulten no sean superiores a los que hubiesen tenido en caso de no haberse llevado a cabo la bursatilización de la cartera de que se trate;
e) Las inversiones, incluyendo los efectos de valuación por el método de participación en el capital de las entidades financieras a que se refieren los artículos 89 de la Ley y 31 de la Ley para Regular las Agrupaciones Financieras; tratándose de sociedades de inversión, únicamente se considerarán las inversiones en el capital fijo. Para estos efectos se considerarán todas las inversiones que se realicen, directa e indirectamente, en cualquier entidad financiera nacional o extranjera, considerando una a una dichas inversiones, sin perjuicio de que el capital de alguna de ellas provenga a su vez de otra de estas entidades financieras. Asimismo, las inversiones o aportaciones, directa o indirectamente, en el capital de empresas o en el patrimonio de fideicomisos u otro tipo de figuras similares que tengan por finalidad compensar y liquidar operaciones celebradas en bolsa, salvo la participación de dichas empresas o fideicomisos en esta última;
f) Las inversiones, incluyendo los efectos de valuación por el método de participación en el capital de empresas a que se refiere la fracción III del artículo 75 de la Ley y, I y II del mismo ordenamiento, siempre y cuando, en el caso de las relativas a las fracciones I y II ya mencionadas, se trate de empresas que no se encuentren cotizadas en la Bolsa Mexicana de Valores o en alguna otra Bolsa de Valores reconocida por las autoridades financieras mexicanas. También se incluirán en esta categoría las inversiones en acciones, distintas a las de capital fijo, de sociedades de inversión de capitales a las cuales se les aplicará el tratamiento previsto en los dos párrafos siguientes.
En el caso de inversiones distintas al capital fijo, en sociedades de inversión de capitales que no se encuentren cotizadas en la Bolsa Mexicana de Valores o en alguna otra Bolsa de Valores reconocida por las autoridades financieras mexicanas, así como en sociedades de inversión de capitales cotizadas en las bolsas ya mencionadas, en las que la Institución mantenga más de 15 por ciento del capital contable de la citada sociedad de inversión, el portafolio de la sociedad de que se trate se desagregará en sus diversas posiciones individuales, considerando la participación que tenga la Institución en dichas sociedades de inversión. La parte de la sociedad de inversión invertida en instrumentos de deuda computará conforme a IV.29. Las posiciones accionarias que individualmente tengan las características del párrafo anterior, se restarán del capital y las restantes tendrán un requerimiento de capital de acuerdo a IV.36.
Las inversiones distintas al capital fijo, en acciones de sociedades de inversión de capitales, que se encuentren cotizadas en la Bolsa Mexicana de Valores o alguna otra Bolsa de Valores reconocida por las autoridades financieras mexicanas, en las que la Institución no mantenga más de 15% de capital contable de la citada sociedad de inversión, así como las inversiones en acciones de las comprendidas en las fracciones I y II del citado artículo 75, cotizadas en las bolsas ya mencionadas, tendrán un requerimiento de capital de acuerdo a IV.36.
Las inversiones que se deriven de capitalizaciones totales de adeudos o que se reciban como dación en pago total, en acciones comprendidas en las fracciones I y II del artículo 75, no cotizadas, así como las inversiones en la fracción III del mismo artículo, cotizadas y no cotizadas, se restarán del capital básico transcurridos cinco años de haberse efectuado la capitalización o dación correspondiente.
Las inversiones que se deriven de capitalizaciones parciales de adeudos o que se reciban como dación en pago parcial, como componentes de un programa de reestructura del crédito, en acciones comprendidas en las fracciones I y II del artículo 75, no cotizadas, así como en la fracción III del mismo artículo, cotizadas y no cotizadas, se restarán del capital básico de acuerdo con el siguiente calendario:
| Año | Porcentaje de deducción |
| De 0 a 5 | 0 |
| 6 | 20 |
| 7 | 40 |
| 8 | 60 |
| 9 | 80 |
| 10 | 100 |
Las inversiones a que se refiere este inciso, en tanto no sean restadas del capital, tendrán un requerimiento de capital de acuerdo con IV.36., por la parte no restada;
g) Las reservas preventivas pendientes de constituirse, de acuerdo con las disposiciones de la Secretaría a que se refiere el artículo 76 de la Ley, así como aquéllas constituidas con cargo a cuentas contables que no formen parte de las partidas de resultados o del capital contable; y cualquier otro concepto que implique el diferimiento en el registro de partidas de cargo al capital o al estado de resultados que no correspondan a los pagos y gastos anticipados de la operación normal de la Institución, a los gastos de instalación ni a las partidas señaladas en los siguientes incisos h) e i);
h) Los impuestos diferidos activos provenientes de pérdidas fiscales y de la constitución de provisiones en exceso del límite fiscal que sean superiores a 20% del capital básico, antes de deducir este concepto. Se considerará en este concepto a la participación de los trabajadores en las utilidades diferidas provenientes de la constitución de provisiones en exceso del límite fiscal, y
i) Los gastos de organización, y los activos intangibles considerando, entre otros, a los provenientes de: la indemnización por reorganización; el crédito mercantil, independientemente de la inversión accionaria que le haya dado origen, y los derechos por beneficios laborales al retiro.
La parte básica no podrá ser inferior a 50 por ciento del capital neto.
VI.2. La parte complementaria se integra por:
a) Los instrumentos de capitalización bancaria no incluidos en el inciso c) de VI.1 y los que tengan flujos acumulativos, es decir, aquellos en los que el emisor tiene la opción de diferir el pago de rendimientos devengados, y que además cumplan con las características descritas en VI.3, así como las obligaciones subordinadas de conversión obligatoria;
MAS:
b) Las obligaciones subordinadas no convertibles o de conversión voluntaria a capital; hasta por un monto que no exceda del cincuenta por ciento de la parte básica referida en VI.1. Las obligaciones subordinadas no convertibles y de conversión voluntaria computarán dentro de esta parte complementaria en función del límite señalado y del plazo por vencer, de conformidad con lo siguiente: y
| PLAZO EN AÑOS RESPECTO DE LA FECHA DE LAS CORRESPONDIENTES AMORTIZACIONES | PORCENTAJES DEL SALDO INSOLUTO |
| Más de 4 Más de 3 y hasta 4 Más de 2 y hasta 3 Más de 1 y hasta 2 Hasta 1 | 100 80 60 40 20 |
c) Las reservas preventivas generales ya constituidas o pendientes de constituir, hasta por un monto que no exceda de 1.25 por ciento de los activos sujetos a riesgo de crédito, ponderados conforme a V.21., a que se refieren los numerales V.12. y V.13.;
MENOS:
d) La inversión en obligaciones subordinadas no convertibles y de conversión voluntaria a capital, emitidas por otras entidades financieras.
VI.3. Para que los instrumentos de capitalización bancaria descritos en VI.1 inciso c) y VI.2 inciso a) computen, tanto en la porción básica como en la complementaria, según corresponda, deberán contar con la autorización de la Secretaría, oyendo la opinión de la Comisión y del Banco de México. La emisión de estos instrumentos será hecha a través de un vehículo creado con ese propósito especial. Los instrumentos que emita la Institución en que invierte el vehículo mencionado, y que corresponden a los señalados en el artículo 50 de la Ley deberán además, tener las siguientes características:
a) Plazo mínimo de 10 años, en el caso de que los instrumentos no sean de conversión obligatoria en Certificados de Aportación Patrimonial (CAP´s), serie B, de la Institución;
b) Prelación inferior a la deuda subordinada;
c) El valor nominal será pagado al vencimiento de los instrumentos, y
d) No tener garantías específicas por parte del emisor.
En caso de que la institución decrete remanentes de operación durante los periodos en los que los instrumentos de deuda de capitalización bancaria no paguen los flujos devengados o, en caso de haberlos diferido previamente, existan flujos pendientes de pagar, dichos instrumentos computarán conforme a VI.2 inciso a). Los recursos obtenidos en la emisión de los instrumentos de capitalización bancaria deberán estar inmediatamente disponibles para la Institución emisora. El plazo mínimo de diez años podrá ser extendido por la Secretaría, oyendo la opinión del Banco de México y de la Comisión, cuando a su juicio exista mercado para estos instrumentos de más largo plazo.
Se permitirán aumentos en las tasas de los instrumentos de capitalización bancaria solamente en el caso de que dichos aumentos ocurran a partir del décimo año posterior a la emisión y en las condiciones que la Secretaría autorice, oyendo la opinión del Banco de México y de la Comisión.
El monto total de las emisiones de los instrumentos de capitalización bancaria no convertibles, computará como capital, con excepción del segundo año inmediato anterior y el año inmediato anterior al vencimiento, en los cuales únicamente se considerará el 50 por ciento y el 20 por ciento, respectivamente, del saldo correspondiente.
SEPTIMA.- Clasificación de operaciones de sucursales y agencias en el exterior.
Las operaciones que se lleven a cabo a través de sucursales y agencias, se clasificarán para los efectos de estas Reglas en los grupos señalados en las Reglas Cuarta y Quinta, que resulten más acordes con la naturaleza del activo, pasivo u operación de que se trate. El Banco de México resolverá las consultas que se le presenten sobre la clasificación de estas operaciones.
La Secretaría podrá realizar ajustes a los coeficientes de cargo por riesgo de mercado, a los porcentajes de ponderación de riesgos y al procedimiento para determinar el valor de conversión, aplicables a dichas operaciones, cuando a su juicio así se justifique en atención a la naturaleza y condiciones de las mismas.
OCTAVA.- Cómputo de los requerimientos de capitalización
El cómputo para determinar el cumplimiento de los requerimientos de capitalización se realizará considerando las operaciones de las instituciones en territorio nacional, así como las operaciones de sus agencias y sucursales en el extranjero, conforme a la integración de los grupos de riesgo de mercado y de crédito que se establecen en las presentes Reglas y en el Anexo C.
El Banco de México efectuará dicho cómputo una vez al mes. Los requerimientos de capital por riesgos de mercado, los requerimientos por riesgos de crédito en la tenencia de valores y en las operaciones de reportos, de futuro, de intercambio de rendimientos, de opción y de otros derivados, así como el capital neto, se determinarán con base en saldos al día último de mes, y los requerimientos de capital por riesgo de crédito de las demás operaciones se determinarán con base en promedios mensuales de saldos diarios. Sin perjuicio de lo anterior, el Banco de México podrá efectuar el cómputo con mayor periodicidad y en cualquier fecha para alguna institución en específico, cuando juzgue que entre los días que van de un cómputo a otro tal institución está asumiendo riesgos notoriamente mayores a los que muestren las cifras de cierre de mes.
Las instituciones deberán proporcionar al Banco de México la información que sobre el particular les requiera, en la forma y plazos establecidos por el propio Banco; la cual, en su caso, tendrá que reportarse debidamente valuada conforme a lo establecido en la Regla Tercera.
El cómputo se efectuará en moneda nacional.
a) El cálculo de la equivalencia en moneda nacional de dólares de los EE.UU.A., se realizará tomando en cuenta el tipo de cambio promedio del mes o al día último, según se trate, considerando para ello el tipo de cambio que el Banco de México publica todos los días hábiles bancarios en el Diario Oficial de la Federación, para los días inhábiles se considerará el tipo de cambio publicado el día hábil inmediato anterior, tratándose de moneda extranjera distinta al dólar de los EE.UU.A., se convertirá la moneda extranjera de que se trate a dólares de los EE.UU.A., a un tipo de cambio representativo de las condiciones de mercado, y
b) El cálculo de la equivalencia en moneda nacional de las UDIS se realizará tomando en cuenta el valor en pesos de la UDI, promedio del mes o al día último según se trate, considerando para ello el valor en pesos de la UDI que el Banco de México publica en el Diario Oficial de la Federación.
El Banco de México resolverá respecto de los coeficientes de cargo por riesgo de mercado, porcentajes de ponderación de riesgo y procedimiento para determinar el valor de conversión, aplicables en caso de que se presenten operaciones autorizadas no comprendidas en las presentes Reglas.
Los créditos que se otorguen y las demás operaciones que se realicen en contravención a las disposiciones aplicables, deberán capitalizarse al cien por ciento, sin ser objeto de ponderación alguna. Los requerimientos de capital se determinarán computando en primer instancia este tipo de operaciones.
NOVENA.- Requerimientos de capitalización adicionales.
La Comisión, oyendo la opinión del Banco de México y de la Secretaría, podrá exigir requerimientos de capitalización adicionales a los señalados en las presentes Reglas a cualquier Institución, cuando a juicio de dicha Comisión así se justifique, tomando en cuenta, entre otros aspectos, la integración de su capital, la composición de sus activos, la eficiencia de sus sistemas de control interno y, en general, la exposición y administración de riesgos.
DECIMA.- Revisión de coeficientes por riesgo de mercado.
Los coeficientes de cargo por riesgo de mercado establecidos en IV.3 serán revisados con una periodicidad de al menos dos años, así como cuando éstos sufran cambios significativos entre una revisión y otra.
La Secretaría podrá modificar tales coeficientes oyendo la opinión del Banco de México y de la Comisión.
DECIMA PRIMERA.- Revelación de información.
Las instituciones deberán informar al público inversionista, por lo menos una vez al año junto con sus estados financieros de cierre del ejercicio, y con mayor periodicidad cuando, a juicio de la Secretaría, las condiciones del mercado así lo requieran, la información relativa a su estructura de capital, incluyendo sus componentes, términos y principales características, su nivel de suficiencia de capital respecto a los requerimientos establecidos en las presentes Reglas, así como el monto de sus posiciones sujetas a riesgo. De la misma forma, deberán informar sobre el proceso interno que siguen para evaluar, de forma continua, su suficiencia de capital.
DECIMA SEGUNDA.- Facilidades temporales.
La Secretaría, oyendo la opinión de la Comisión y del Banco de México podrá otorgar, en casos excepcionales, facilidades temporales respecto de los requerimientos de capitalización a instituciones determinadas que presenten faltantes, cuando a juicio de la propia Secretaría, previo análisis de la Institución de que se trate, así se justifique.
DECIMA TERCERA.- Sanciones.
A las instituciones que incurran en faltantes de capital neto total y/o de la parte básica, sin haber obtenido de la Secretaría la facilidad temporal correspondiente, se les aplicarán las sanciones previstas en el artículo 108 de la Ley, considerando al efecto el monto de las operaciones no correspondidas con el capital requerido.
PRIMERA.- Estas Reglas entrarán en vigor el día 15 de noviembre del año 2000.
SEGUNDA.- Se derogan las Reglas para los Requerimientos de Capitalización de las Sociedades Nacionales de Crédito, Instituciones de Banca de Desarrollo, publicadas en el Diario Oficial de la Federación el día 29 de julio de 1994, así como todas sus adiciones.
TERCERA.- Los créditos garantizados con las participaciones que en ingresos federales le correspondan a los estados y municipios, inscritos en el Registro de Obligaciones y Empréstitos de Entidades Federativas y Municipios a cargo de la Dirección General de Crédito Público de la Secretaría, otorgados antes del 1 de abril del 2000 tendrán un factor de ponderación de riesgo de crédito del veinte por ciento hasta su fecha de vencimiento o, en su defecto, hasta que sean renegociados o extendidos bajo condiciones diferentes, momento en el que les será aplicable lo dispuesto en el numeral V.34.
CUARTA.- La integración del capital neto a que se refiere la Regla Sexta, podrá llevarse a cabo conforme a lo siguiente:
a) Las obligaciones subordinadas de conversión obligatoria a capital, emitidas antes de la entrada en vigor de las presentes Reglas, computarán dentro de la parte básica del capital neto de la Institución hasta su vencimiento.
b) Las inversiones en acciones efectuadas antes de la entrada en vigor de las presentes Reglas, se restarán del capital básico conforme a lo que a continuación se indica:
- Las relativas a la fracción III del artículo 75 de la Ley, comprendidas en el primer párrafo del inciso f) de VI.1, cuando la inversión inicial tenga más de cinco años de haberse efectuado.
- Las relativas a las fracciones I y II del artículo 75 de la Ley, comprendidas en el primer párrafo del inciso f) de VI.1, conforme a los siguientes porcentajes:
| Año | Porcentaje de deducción |
| 2000 | 20 |
| 2001 | 40 |
| 2002 | 60 |
| 2003 | 100 |
- Las derivadas de procesos de capitalización total de adeudos o que se reciban como daciones en pago total, comprendidas en el cuarto párrafo del inciso f) de VI.1, conforme al calendario indicado en el quinto párrafo del mismo inciso f).
Las inversiones a que hace referencia al presente inciso, mientras no sean restadas en su totalidad del capital básico, les será aplicable, por la porción no deducida, el régimen establecido en VI.36.
QUINTA.- Previa autorización de la Secretaría, y oyendo la opinión del Banco de México y de la Comisión, las instituciones podrán computar como capital básico las emisiones realizadas en 2000 y 2001 de los instrumentos de capitalización bancaria con flujos acumulativos, a que hace referencia VI.2 inciso a). El monto máximo de estas emisiones que podrá computar como capital básico será la diferencia positiva entre el 10% del citado concepto y el monto de las obligaciones subordinadas de conversión obligatoria incluidas en el mismo. En el caso de que en el año 2002 estos instrumentos no hayan pagado flujos, serán reclasificados del capital básico al complementario.
Sufragio Efectivo. No Reelección.
México, Distrito Federal, a los dos días del mes de octubre de dos mil.- El Secretario de Hacienda y Crédtio Público, José Angel Gurría.- Rúbrica.
La Beta ponderada de la posición larga y de la corta se calculará aplicando la siguiente fórmula:

= Beta de la posición larga o corta, según se trate.
= La posición neta de activo i dentro de la respectiva posición larga o corta.
= Beta de las acciones individuales.
= Cantidad de acciones diferentes dentro de la respectiva posición larga o corta.
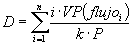
La duración de un instrumento de deuda con tasa cupón fija se calculará de acuerdo a la siguiente fórmula:
Donde:
n = número de pagos de cupón del instrumento.
VP(flujo i ) = Valor presente del flujo i, descontado a la tasa de rendimiento a vencimiento correspondiente al precio del título a la fecha del cómputo, y tomando en cuenta la fecha de pago del mismo.
P = precio del instrumento a la fecha del cómputo.
K= el número de periodos por año a que se convierte la tasa nominal utilizada para descontar los flujos.
AC.1. POR RIESGO DE MERCADO.
Sin limitación a lo establecido en las Reglas, los grupos en que se clasifican las operaciones expuestas a riesgos de mercado, señalados en el numeral IV.1, se integrarán por las operaciones que a continuación se indican:
AC.11. OPERACIONES EN MONEDA NACIONAL, CON TASA DE INTERES NOMINAL O CON RENDIMIENTO REFERIDO A ESTA.
- Depósitos a la vista recibidos. Los depósitos a la vista, los depósitos bancarios en cuenta corriente y los depósitos de ahorro, deberán clasificarse, indistintamente, en las bandas 1 y 2 de IV.31.22. cuando éstos devenguen una tasa de interés superior al 50 por ciento de la tasa anual de rendimiento de los Certificados de la Tesorería de la Federación a 28 días, en colocación primaria, durante el periodo para el que se calculan los intereses por dichos depósitos, y en las bandas 1 a 5 cuando no devenguen interés o éste sea inferior a la tasa referida.
- Depósitos bancarios a plazo recibidos.
- Tenencia de valores, incluidos los otorgados en garantía, cuyo rendimiento a cargo del emisor, por tasa de interés y/o tasa de descuento, esté referido a tasas de interés nominales, independientemente de que los valores de que se trate hayan sido adquiridos mediante una operación de préstamo de valores o mediante una operación de reporto con un premio que no esté referido a tasas de interés nominales. No se incluye la tenencia de títulos bancarios propios para colocación en reporto. 1/
- Valores a recibir por operaciones de reporto, cuyo rendimiento de los valores a cargo del emisor, por tasa de interés y/o tasa de descuento, esté referido a tasas de interés nominales, independientemente de que en la correspondiente operación de reporto se hubiere pactado un premio que no esté referido a tasas de interés nominales. 1/
- Moneda nacional a entregar por operaciones de reporto de cualquier tipo de valores, cuyo premio del reporto esté referido a tasas de interés nominales. 1/
- Valores a entregar por operaciones de reporto, cuyo rendimiento de los valores a cargo del emisor, por tasa de interés y/o tasa de descuento, esté referido a tasas de interés nominales, independientemente de que en la correspondiente operación de reporto se hubiere pactado un premio que no esté referido a tasas de interés nominales. 1/
- Moneda nacional a recibir por operaciones de reporto de cualquier tipo de valores, cuyo premio del reporto esté referido a tasas de interés nominales. 1/
- Valores a recibir: por compras pendientes de liquidar; por préstamos de valores, actuando como prestatario, pendientes de liquidar, y por préstamo de valores actuando como prestamista. 1/
- Valores a entregar: por ventas pendientes de liquidar; y por préstamo de valores actuando como prestamista, pendientes de liquidar, y por préstamo de valores actuando como prestatario. 1/
- Futuros y contratos adelantados, en términos de lo dispuesto en el numeral IV.24. de la cuarta de las Reglas a que pertenece el presente Anexo.
- Opciones y títulos opcionales, en términos de lo dispuesto en el numeral IV.24. de la cuarta de las Reglas a que pertenece el presente Anexo.
- Operaciones de intercambio de rendimiento, por la parte de éstas que esté referida a una tasa de interés nominal o al rendimiento de un instrumento en moneda nacional con tasa de interés nominal.
- Cartera de valores integrante de los activos y, en su caso, pasivos de sociedades de inversión, en términos de lo dispuesto en el numeral IV.29. de la cuarta de las Reglas a que pertenece el presente Anexo.
- Cartera de créditos comprada a descuento, sin responsabilidad del cedente. 2/ y 3/
- Préstamos y créditos concedidos, incluidas las operaciones de arrendamiento financiero. 2/
- Cartera de créditos tomada en descuento, con responsabilidad del cedente. 4/
- Títulos descontados con endoso (con responsabilidad). 2/ y 3/
- Responsabilidades por descuento de títulos con endoso. 4/
- Captación del público, préstamos y depósitos de bancos, así como otros financiamientos recibidos, a plazo, que sean objeto de pago de una tasa de interés nominal.
- Las demás operaciones a plazo que sean objeto de cobro o pago de una tasa de interés nominal.
AC.12. OPERACIONES EN UDIS ASI COMO EN MONEDA NACIONAL CON TASA DE INTERES REAL O CON RENDIMIENTO REFERIDO A ESTA.
- Depósitos bancarios a plazo recibidos.
- Tenencia de valores, incluidos los otorgados en garantía, cuyo rendimiento a cargo del emisor, por tasa de interés y/o tasa de descuento, esté referido a tasas de interés reales, independientemente de que los valores de que se trate hayan sido adquiridos mediante una operación de préstamo de valores o mediante una operación de reporto con un premio que no esté referido a tasas de interés reales. No se incluye la tenencia de títulos bancarios propios para colocación en reporto. 1/
- Valores a recibir por operaciones de reporto, cuyo rendimiento de los valores a cargo del emisor, por tasa de interés y/o tasa de descuento, esté referido a tasas de interés reales, independientemente de que en la correspondiente operación de reporto se hubiere pactado un premio que no esté referido a tasas de interés reales. 1/
- Moneda nacional a entregar por operaciones de reporto de cualquier tipo de valores, cuyo premio del reporto esté referido a tasas de interés reales. 1/
- Valores a entregar por operaciones de reporto, cuyo rendimiento de los valores a cargo del emisor, por tasa de interés y/o tasa de descuento, esté referido a tasas de interés reales, independientemente de que en la correspondiente operación de reporto se hubiere pactado un premio que no esté referido a tasas de interés reales. 1/
- Moneda nacional a recibir por operaciones de reporto de cualquier tipo de valores, cuyo premio del reporto esté referido a tasas de interés reales. 1/
- Valores a recibir: por compras pendientes de liquidar; por préstamos de valores, actuando como prestatario, pendientes de liquidar, y por préstamo de valores actuando como prestamista. 1/
- Valores a entregar: por ventas pendientes de liquidar; por préstamo de valores, actuando como prestamista, pendientes de liquidar, y por préstamo de valores actuando como prestatario. 1/
- Futuros y contratos adelantados, en términos de lo dispuesto en el numeral IV.24. de la Cuarta de las Reglas a que pertenece el presente Anexo.
- Opciones y títulos opcionales en términos de lo dispuesto en el numeral IV.24. de la cuarta de las Reglas a que pertenece el presente Anexo.
- Operaciones de intercambio de rendimiento, por la parte de éstos que esté referida a una tasa de interés real o al rendimiento de un instrumento en UDIS o en moneda nacional con tasa de interés real.
- Cartera de valores integrante de los activos y, en su caso, pasivos de sociedades de inversión, en términos de lo dispuesto en el numeral IV.29. de la cuarta de las Reglas a que pertenece el presente Anexo.
- Cartera de créditos comprada a descuento, sin responsabilidad del cedente. 2/ y 3/
- Préstamos y créditos concedidos, incluidas las operaciones de arrendamiento financiero. 2/
- Cartera de créditos tomada en descuento, con responsabilidad del cedente. 4/
- Títulos descontados con endoso (con responsabilidad). 2/ y 3/
- Responsabilidades por descuento de títulos con endoso. 4/
- Captación del público, préstamos y depósitos de bancos, así como otros financiamientos recibidos, a plazo, que sean objeto de pago de una tasa de interés real.
- Las demás operaciones a plazo que sean objeto de cobro o pago de un rendimiento referido a tasas de interés reales.
AC.13. OPERACIONES EN DIVISAS O INDIZADAS A TIPOS DE CAMBIO, CON TASA DE INTERES.
- Depósitos a la vista recibidos. Según lo decida cada Institución, las cuentas de cheques sin interés deberán clasificarse, indistintamente, en las bandas 1 a 5 de IV.33., y las cuentas de cheques con interés deberán clasificarse, indistintamente, en las bandas 1 y 2 del mismo numeral.
- Depósitos bancarios a plazo recibidos.
- Tenencia de valores denominados en moneda extranjera o indizados a tipos de cambio, incluidos los otorgados en garantía, cuyo rendimiento a cargo del emisor, por tasa de interés y/o tasa de descuento, esté referido a tasas de interés en moneda extranjera, independientemente de que los valores de que se trate hayan sido adquiridos mediante una operación de préstamo de valores o mediante una operación de reporto con un premio que no esté referido a tasas de interés en moneda extranjera. 1/
- Valores denominados en moneda extranjera o indizados a tipos de cambio, a recibir por operaciones de reporto, cuyo rendimiento de los valores a cargo del emisor, por tasa de interés y/o tasa de descuento, esté referido a tasas de interés en moneda extranjera, independientemente de que en la correspondiente operación de reporto se hubiere pactado un premio que no esté referido a tasas de interés en moneda extranjera. 1/
- Moneda extranjera, o su equivalente en moneda nacional, a entregar por operaciones de reporto de cualquier tipo de valores, cuyo premio del reporto esté referido a tasas de interés en moneda extranjera. 1/
- Valores denominados en moneda extranjera o indizados a tipos de cambio, a entregar por operaciones de reporto, cuyo rendimiento de los valores a cargo del emisor, por tasa de interés y/o tasa de descuento, esté referido a tasas de interés en moneda extranjera, independientemente de que en la correspondiente operación de reporto se hubiere pactado un premio que no esté referido a tasas de interés en moneda extranjera. 1/
- Moneda extranjera, o su equivalente en moneda nacional, a recibir por operaciones de reporto de cualquier tipo de valores, cuyo premio del reporto esté referido a tasas de interés en moneda extranjera. 1/
- Valores a recibir: por compras pendientes de liquidar; por préstamos de valores, actuando como prestatario, pendientes de liquidar, y por préstamo de valores actuando como prestamista. 1/
- Valores a entregar: por ventas pendientes de liquidar; por préstamo de valores, actuando como prestamista, pendientes de liquidar, y por préstamo de valores actuando como prestatario. 1/
- Futuros y contratos adelantados, en términos de lo dispuesto en el numeral IV.24. de la cuarta de las Reglas a que pertenece el presente Anexo.
- Opciones y títulos opcionales, en términos de lo dispuesto en el numeral IV.24. de la cuarta de las Reglas a que pertenece el presente Anexo.
- Operaciones de intercambio de rendimiento, por la parte de éstas que esté referida a una tasa de interés en moneda extranjera o al rendimiento de un instrumento en moneda extranjera.
- Cartera de valores integrante de los activos y, en su caso, pasivos de sociedades de inversión, en términos de lo dispuesto en el numeral IV.29. de la cuarta de las Reglas a que pertenece el presente Anexo.
- Cartera de créditos comprada a descuento, sin responsabilidad del cedente. 2/ y 3/
- Préstamos y créditos concedidos, incluidas las operaciones de arrendamiento financiero. 2/
- Cartera de créditos tomada en descuento, con responsabilidad del cedente. 4/
- Títulos descontados con endoso (con responsabilidad). 2/ y 3/
- Responsabilidades por descuento de títulos con endoso. 4/
- Captación del público, préstamos y depósitos de bancos así como otros financiamientos recibidos, a plazo, que sean objeto de pago de un rendimiento referido a tasas de interés en moneda extranjera.
- Las demás operaciones a plazo que sean objeto de cobro o pago de un rendimiento referido a tasas de interés en moneda extranjera.
AC.14. OPERACIONES EN UDIS, ASI COMO EN MONEDA NACIONAL CON RENDIMIENTO REFERIDO AL INPC.
Este grupo se integrará con las operaciones comprendidas en AC.12.
AC.15. OPERACIONES EN DIVISAS O INDIZADAS A TIPOS DE CAMBIO.
Este grupo se integrará con las operaciones comprendidas en AC.13., así como por las demás operaciones a la vista y a plazo que deban considerarse para determinar las posiciones en divisas conforme a las disposiciones dictadas por el Banco de México.
AC.16. OPERACIONES CON ACCIONES Y SOBRE ACCIONES 5/ O CUYO RENDIMIENTO ESTE REFERIDO A LA VARIACION EN EL PRECIO DE UNA ACCION, DE UNA CANASTA DE ACCIONES O DE UN INDICE ACCIONARIO.
- Tenencia de acciones, incluidas las otorgadas en garantía. 1/
- Tenencia de títulos cuyo rendimiento esté referido a la variación en el precio de una acción, de una canasta de acciones o de un índice accionario, incluidas las otorgadas en garantía. 1/
- Contratación de pasivos (por emisión de títulos o cualquier otra forma), cuyo rendimiento esté referido a la variación en el precio de una acción, de una canasta de acciones o de un índice accionario. 1/
- Acciones a recibir por operaciones de reporto. 1/
- Dinero a entregar por operaciones de reporto de cualquier tipo de valores, cuyo premio del reporto esté referido a la variación en el precio de una acción, de una canasta de acciones o de un índice accionario. 1/
- Acciones a entregar por operaciones de reporto. 1/
- Dinero a recibir por operaciones de reporto de cualquier tipo de valores, cuyo premio del reporto esté referido a la variación en el precio de una acción, de una canasta de acciones o de un índice accionario. 1/
- Acciones a recibir: por compras pendientes de liquidar; por préstamo de valores, actuando como prestatario, pendientes de liquidar, y por préstamo de valores actuando como prestamista. 1/
- Acciones a entregar: por ventas pendientes de liquidar; por préstamo de valores, actuando como prestamista, pendientes de liquidar, y por préstamo de valores actuando como prestatario. 1/
- Futuros y contratos adelantados, en términos de lo dispuesto en el numeral IV.24. de la cuarta de las Reglas a que pertenece el presente Anexo.
- Operaciones de intercambio de rendimiento, por la parte de éstas que esté referida a la variación en el precio de una acción, de una canasta de acciones o de un índice accionario.
- Opciones y títulos opcionales (warrants), en términos de lo dispuesto en el numeral IV.24. de la cuarta de las Reglas a que pertenece el presente Anexo.
- Cartera de valores integrante de los activos y, en su caso, pasivos de sociedades de inversión, en términos de lo dispuesto en el numeral IV.36.15. de la cuarta de las Reglas a que pertenece el presente Anexo.
- Las demás operaciones activas o pasivas, sujetas a la variación en el precio de una acción, de una canasta de acciones o de un índice accionario.
1/ Según sea el caso, incluye los valores o dinero, a recibir o a entregar, valor 24, 48, 72 o 96 horas, por operaciones pactadas pendientes de liquidar: de compra, de venta, de préstamo o de reporto.
2/ Incluye, en su caso, el refinanciamiento o capitalización de intereses.
3/ Para determinar el riesgo de mercado (moneda, rendimiento y plazo de la operación), se considerarán las características del crédito objeto de descuento.
4/ Para determinar el riesgo de mercado (moneda, rendimiento y plazo de la operación), se considerarán las características del financiamiento por medio de la operación de descuento.
5/ Incluidos los ADR's y otros títulos similares.
AC.2. POR RIESGO DE CREDITO.
Sin limitación a lo establecido en las Reglas, los grupos en que se clasifican las operaciones bancarias expuestas a riesgo de crédito, estarán integrados por las operaciones en moneda nacional, en unidades de inversión (UDIS) y en divisas, que se especifican en V.11., V.12., V.13. o V.34., según se trate, conforme a lo siguiente:
AC.21. Los depósitos bancarios y las inversiones en valores comprenden a los respectivos intereses devengados y, en su caso, a los cupones de intereses y de dividendos.
AC.22. Las operaciones crediticias se entenderán en su más amplio sentido y comprenderán: toma de documentos de cobro inmediato y remesas en camino; crédito por corresponsalía; cartera vigente y vencida; préstamos al personal; refinanciamiento y capitalización de intereses; avales, garantías, cartas de crédito, intereses devengados, y comisiones y premios devengados.
AC.23. Los valores y créditos garantizados parcialmente computarán: la parte garantizada en aquel grupo a que corresponda el garante, y la parte no garantizada en el grupo a que corresponda el emisor o acreditado.
AC.24. Las inversiones con cargo al fondo de reservas para pensiones de personal y primas de antigüedad, se considerarán como una inversión más en el grupo a que correspondan.
AC.25. Formarán parte del grupo referido en V.11.:
- Caja.
- Las inversiones en "instrumentos de deuda" y en obligaciones subordinadas mencionadas en el inciso d) de VI.1 y d) VI.2.
- Los títulos bancarios propios para colocación en reporto.
- Los descuentos de papel comercial con aval de la propia Institución.
- Los créditos simples y créditos en cuenta corriente para suscriptores de papel comercial con aval de la propia Institución.
- El IVA pagado por aplicar.
- Las operaciones de compra venta al contado de divisas.
- Las operaciones de futuro (mediante contratos "normalizados" y liquidaciones múltiples) y derivados negociados en bolsas reconocidas por las autoridades financieras mexicanas.
- Deudores por fianzas con garantía de efectivo.
- La tenencia de títulos adquiridos mediante operaciones de reporto y de préstamo de valores.
AC.26. Para determinar la persona acreditada y la moneda de la operación: en la cartera tomada a descuento con responsabilidad del cedente se considerarán las características del financiamiento otorgado por medio de la operación de descuento; y en las operaciones de cesión de cartera con responsabilidad del cedente (títulos descontados con endoso) se considerarán las características del crédito objeto de descuento, y en las operaciones de garantía (sin flujo de recursos) se considerarán como persona acreditada al sujeto receptor del crédito otorgado (por parte del beneficiario de la garantía), así como las demás características del propio crédito.
AC.27. Las operaciones de apertura de crédito comerciales irrevocables formarán parte del grupo referido en V.12., salvo las líneas o parte de éstas que estén garantizando operaciones vigentes de derivados, las cuales formarán parte del grupo V.13.
Las aperturas de líneas de crédito utilizadas como garantía de sostenimiento de oferta, garantía de la propuesta, garantía de ejecución y garantía de devolución, quedarán comprendidas en el grupo V.12.
La expedición de cartas de crédito "stand by" emitidas para garantizar el cumplimiento de un financiamiento, el pago de emisión de títulos para burzatilizaciones de cartera y otras garantías similares, quedarán comprendidas en el grupo V.13.
AC.28. Sin perjuicio de que no están expuestas a riesgo de crédito, formarán parte del grupo V.13. las inversiones en acciones, de: la Bolsa Mexicana de Valores; Instituciones para el Depósito de Valores; inmobiliarias bancarias y empresas que les presten servicios complementarios o auxiliares en su administración o en la realización de su objeto, a que se refiere el artículo 88 de la Ley. Las demás inversiones accionarias no computarán para efectos de este numeral. También se incluirán en este numeral, los activos fijos propiedad de la Institución, los bienes adjudicados y los activos diferidos, que no se resten al determinar el capital neto.
Las inversiones a que se refiere este numeral no computarán para efectos de determinar el 1.25 por ciento referido en el inciso c) de VI.2.
AC.29. Las inversiones en acciones de sociedades de inversión, que no correspondan al capital fijo, por la parte de éstas invertida en instrumentos de deuda, computarán en los grupos referidos en V.1, según corresponda, conforme a las características de los activos de las respectivas sociedades de inversión, determinando el importe para cada activo en función de la proporción de tenencia de acciones, de la sociedad de inversión de que se trate, respecto de las acciones totales de la misma.