Al margen un sello con el Escudo Nacional, que dice: Estados Unidos Mexicanos.- Secretaría de Hacienda y Crédito Público.
REGLAS PARA EL REQUERIMIENTO MINIMO DE CAPITAL BASE DE OPERACIONES DE LAS INSTITUCIONES DE FIANZAS, Y A TRAVES DE LAS QUE SE FIJAN LOS REQUISITOS DE LAS SOCIEDADES INMOBILIARIAS DE LAS PROPIAS INSTITUCIONES.
Que conforme al artículo 18 de la Ley Federal de Instituciones de Fianzas, corresponde a la Secretaría de Hacienda y Crédito Público establecer el requerimiento mínimo de capital base de operaciones de las instituciones de fianzas. A través de una adecuada capitalización de las instituciones de fianzas, se protege a los beneficiarios de una posible insolvencia de estos intermediarios financieros.
Que como parte del capital de las afianzadoras, el requerimiento mínimo de capital base de operaciones, fortalece su patrimonio y desarrollo a fin de que, de acuerdo al volumen de sus operaciones, los distintos tipos de responsabilidades asumidas, el volumen de reclamaciones recibidas, la suficiencia y calidad de garantías de recuperación, los riesgos de suscripción asumidos, la práctica del reafianzamiento y la composición de sus inversiones, se mantengan de manera permanente en niveles suficientes para hacer frente al debido cumplimiento de las obligaciones que contraigan. En este sentido, el requerimiento mínimo de capital base de operaciones tiene como fin principal preservar la viabilidad financiera de las afianzadoras, al consolidar su estabilidad y seguridad patrimonial.
Que esta Secretaría y la Comisión Nacional de Seguros y Fianzas en atención al mejoramiento continuo de los esquemas de regulación, han considerado conveniente modernizar la regulación reglamentaria del requerimiento mínimo de capital base de operaciones de las instituciones de fianzas, con el objeto de adecuar los criterios de solvencia a las nuevas necesidades del sector afianzador y con ello reforzar la protección del público usuario de la fianza como instrumento de garantía.
Que las nuevas Reglas tienen por finalidad incorporar en el requerimiento mínimo de capital base de operaciones, el riesgo de suscripción, y mejorar la medición del riesgo en la calidad de las garantías de recuperación recabadas.
Que el requerimiento bruto de solvencia corresponde al monto de recursos que las instituciones de fianzas deben mantener para hacer frente a la exposición por acumulación de reclamaciones recibidas con expectativa de pago, la exposición al riesgo por la suscripción de fianzas en condiciones riesgosas, los posibles quebrantos por insolvencia de reaseguradores extranjeros que operan el reafianzamiento y las fluctuaciones de las inversiones que respaldan las obligaciones contraídas con los beneficiarios. Por lo que el requerimiento bruto de solvencia representa la suma del requerimiento de operación y del requerimiento por inversiones.
Que a su vez, el requerimiento de operación estará formado por la suma de tres requerimientos: el requerimiento por reclamaciones recibidas con expectativa de pago (R1), el requerimiento por exposición a pérdidas por calidad de garantías recabadas (R2), y el requerimiento por riesgo de suscripción por pólizas suscritas en condiciones de riesgo (R3).
Que el requerimiento por inversiones está constituido a partir del requerimiento por faltantes en la inversión de la cobertura de inversiones de las reservas técnicas y el requerimiento por riesgo de crédito financiero, cuyas determinaciones son precisadas en la reglamentación que nos ocupa.
Que por otra parte, las presentes Reglas establecen que las instituciones de fianzas deben mantener invertidos, en todo momento, los activos destinados a respaldar el requerimiento mínimo de capital base de operaciones, debiendo observar los límites de inversión que se fijan, tanto por tipo de valores, como por emisor o deudor. Adicionalmente para efectos de las limitantes aplicables se precisan los supuestos de la existencia de nexos patrimoniales con las instituciones de fianzas. Lo anterior, tiene por objeto preservar la solvencia y liquidez de las afianzadoras, a fin de orientar el fortalecimiento de sus recursos patrimoniales comprometidos al debido cumplimiento de las responsabilidades que contraigan.
Que de igual forma, en las presentes Reglas se establecen los procedimientos aplicables, en caso de que se detecten faltantes en la cobertura del requerimiento mínimo de capital base de operaciones, así como lo concerniente a la imposición de sanciones. En este sentido, se establece que para la aplicación del factor que irá de 1 hasta 1.25 veces la tasa de interés aplicable, la Comisión Nacional de Seguros y Fianzas deberá tomar en cuenta las condiciones e intención del infractor, así como la importancia de la infracción y la conveniencia de evitar prácticas tendentes a contravenir las disposiciones legales aplicables a las instituciones de fianzas.
Que se dan a conocer los requisitos de operación que deben reunir las sociedades inmobiliarias en las que sean accionistas mayoritarios las instituciones de fianzas.
En virtud de lo anterior, y después de escuchar la opinión de la Comisión Nacional de Seguros y Fianzas, con fundamento y considerando lo previsto por los artículos 31 fracción VIII de la Ley Orgánica de la Administración Pública Federal; 1o., 18, 40, 59, 67 y 79-Bis-2 de la Ley Federal de Instituciones de Fianzas, y en ejercicio de las facultades que me confiere la fracción XXXIV del artículo 6o. del Reglamento Interior de la Secretaría de Hacienda y Crédito Público, he tenido a bien expedir las siguientes:
DE LAS INSTITUCIONES DE FIANZAS, Y A TRAVES DE LAS QUE SE FIJAN LOS REQUISITOS
DE LAS SOCIEDADES INMOBILIARIAS DE LAS PROPIAS INSTITUCIONES
TITULO PRIMERO
DISPOSICIONES GENERALES
CAPITULO UNICO
PRIMERA.- Para efectos de las presentes Reglas, se entenderá por:
I.- Secretaría, la Secretaría de Hacienda y Crédito Público.
II.- Comisión, la Comisión Nacional de Seguros y Fianzas.
III.- Ley, la Ley Federal de Instituciones de Fianzas.
IV.- Instituciones, las instituciones de fianzas.
TERCERA.- La Secretaría oyendo la opinión de la Comisión, podrá modificar los procedimientos de cálculo a que se refieren las presentes Reglas y las instituciones de fianzas estarán obligadas a determinar su requerimiento mínimo de capital base de operaciones conforme a las mismas.
La Secretaría será el órgano competente para interpretar, aplicar, resolver y modificar para efectos administrativos todo lo relacionado con las presentes Reglas.
CUARTA.- Dentro de los veinte días naturales posteriores al cierre de los trimestres que concluyen en los meses de marzo, junio y septiembre y dentro de los treinta días naturales posteriores al cierre del trimestre que concluye en el mes de diciembre, las Instituciones deberán presentar, informar y comprobar a la Comisión, en la forma y términos que ésta determine, todo lo concerniente a las presentes Reglas, debiendo acompaņar copia de los estados de cuenta que emitan los custodios correspondientes, que acrediten la propiedad sobre las inversiones computables del requerimiento mínimo de capital base de operaciones.
Lo anterior, a fin de que la Comisión compruebe si el cálculo del requerimiento mínimo de capital base de operaciones y los activos computables de los meses del trimestre de que se trate, se ajustan a lo establecido en las presentes Reglas.
La Comisión en uso de las facultades de inspección y vigilancia que le otorga la Ley podrá, en los casos que estime necesarios, modificar la periodicidad en que las Instituciones deberán presentar, informar y comprobar todo lo concerniente a su requerimiento mínimo de capital base de operaciones.
DEL REQUERIMIENTO MINIMO DE CAPITAL BASE DE OPERACIONES
CAPITULO PRIMERO
QUINTA.- El requerimiento mínimo de capital base de operaciones (RMCBO) que de conformidad con estas Reglas deberán mantener las Instituciones, se determinará como la cantidad que resulte de restar al requerimiento bruto de solvencia (RBS) que se establece de la Sexta a la Décima Primera de las presentes Reglas, las deducciones (D) establecidas en la Décima Segunda de estas Reglas, es decir:
DEL REQUERIMIENTO BRUTO DE SOLVENCIA
SEXTA.- Se entiende por requerimiento bruto de solvencia (RBS) el monto de recursos que las instituciones deben mantener para financiar el pago del saldo acumulado de las reclamaciones recibidas con expectativa de pago, la exposición a quebrantos por insolvencia de reaseguradores extranjeros que operan reafianzamiento, la exposición a pérdidas por calidad y suficiencia de garantías y por riesgos de suscripción, así como la exposición a las fluctuaciones adversas en el valor de los activos que respaldan a las obligaciones contraídas con los beneficiarios.
El requerimiento bruto de solvencia (RBS) será igual a la cantidad que resulte de sumar el requerimiento de operación (RO) y el requerimiento de inversiones (RI), cuyas fórmulas de cálculo se establecen de la Séptima a la Décima Primera de las presentes Reglas:
SEPTIMA.- Se entiende por requerimiento de operación (RO) al monto de recursos que las Instituciones deben mantener para financiar el pago del saldo acumulado de las reclamaciones recibidas con expectativa de pago, la exposición a pérdidas por calidad y suficiencia de garantías y por riesgos de suscripción.
El Requerimiento de Operación (RO) será igual al Requerimiento por Reclamaciones Recibidas con Expectativa de Pago (R1), más el Requerimiento por Exposición a Pérdidas por Calidad de Garantías Recabadas (R2), más el Requerimiento por Riesgo de Suscripción (R3):
Dichos requerimientos se calcularán de la siguiente manera:
a) En el caso del Requerimiento por Reclamaciones Recibidas con Expectativa de Pago (R1):
i) Para cada ramo i, se calculará el monto de las reclamaciones recibidas (RRi), menos el monto de garantías de alta calidad (GACi), correspondientes a dichas reclamaciones recibidas.
ii) Para cada ramo, el monto determinado conforme al inciso anterior, se multiplicará por la probabilidad de que las reclamaciones recibidas se conviertan en reclamaciones pagadas Pri (Pag).
iii) Se sumará el resultado obtenido conforme a lo indicado en los incisos i) y ii), dicha suma deberá multiplicarse por el Ponderador de Calidad de Reafianzamiento (Pcr) y por el factor de retención de cada institución de fianzas (FRc), sin que dicho factor sea inferior al factor de retención promedio del mercado (FRM). Al resultado obtenido se le restará la reserva de fianzas en vigor retenida (RFVR1) de las pólizas correspondientes a las reclamaciones recibidas.
El procedimiento de cálculo descrito en los incisos, se define en la siguiente fórmula:

Donde:
i se refiere a cada uno de los cuatro ramos de fianzas, fidelidad (1), judiciales (2), administrativas (3) y crédito (4).
El factor de retención promedio del mercado (FRM), al que se refiere la presente Regla, así como el factor de retención de la compaņía (FRc), se deberán calcular con el promedio de los últimos 24 meses, de los cocientes de los saldos de las responsabilidades por fianzas en vigor retenidas al mes de que se trate entre, los saldos de las responsabilidades por fianzas en vigor a ese mismo mes, sin que dicho factor en ningún caso sea inferior a cero, ni superior a uno.
Para efectos de lo dispuesto en el presente inciso, la Comisión dará a conocer mediante disposiciones administrativas de carácter general, para cada uno de los ramos, la probabilidad de que las reclamaciones recibidas, se conviertan en pagadas Pri (Pag). Asimismo se dará a conocer en el primer trimestre de cada aņo, el factor de retención promedio del mercado de los últimos 24 meses (FRM).
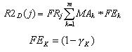
b) El Requerimiento por Exposición a Pérdidas por Calidad de Garantías Recabadas (R2), se determinará conforme al siguiente procedimiento:
i) Se identificarán los tipos y montos de las garantías de recuperación de cada una de las pólizas de fianzas en vigor de la operación directa. Para estos efectos la institución deberá contar con un inventario en el cual se identifique a qué pólizas corresponde cada una de las garantías.
ii) En cada póliza se identificará la parte del monto afianzado (MAk) que se cubrirá con cada una de las garantías de recuperación que le correspondan. Para este efecto se deberá tomar el monto afianzado total, sin considerar la parte cedida.
iii) En cada póliza los montos obtenidos conforme al inciso ii), se multiplicarán por el factor de exposición al riesgo por calidad de garantías (FEk) correspondiente. El resultado deberá multiplicarse por el factor de proporción de retención (FEj) que le corresponda, conforme al contrato de reafianzamiento proporcional respectivo.
iv) Se determinará el requerimiento por calidad de garantías de cada una de las pólizas en vigor, como la suma ponderada de las porciones de montos afianzados, multiplicadas por el factor de exposición al riesgo por calidad de garantías, calculados conforme a los incisos anteriores.
En ningún caso la suma de las citadas porciones deberá ser superior o inferior al monto afianzado total de la póliza en cuestión.

Donde:
Yk = Calificación de garantías de recuperación.
v) Se determinará el requerimiento por exposición a pérdidas por calidad de garantías recabadas correspondiente a la operación directa retenida (RD2), como la suma de las cantidades obtenidas conforme a los incisos iii) y iv) para cada una de las pólizas en vigor, multiplicada dicha suma por el índice de reclamaciones pagadas esperadas global de la compaņía
.

Donde:
n = Número de pólizas de fianzas en vigor.
Para aquellas fianzas que se hayan expedido antes de la entrada en vigor de las presentes Reglas y que requiriendo garantías, no cuenten con éstas, el factor de exposición al riesgo por calidad de garantías FEk se considerará igual a uno.
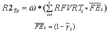
vi) En caso del reafianzamiento tomado, el requerimiento por exposición a pérdidas por calidad de garantías del reafianzamiento tomado (RDto), se obtendrá de multiplicar las responsabilidades de fianzas en vigor retenidas RFVRTi provenientes del reafianzamiento tomado a cada compaņía cedente i, por su correspondiente factor medio de exposición al riesgo por calidad de garantías (FEi), y dicho resultado se multiplicará por el índice de reclamaciones pagadas esperadas global de la compaņía cesionaria
.

Donde:
Yk = Factor medio de calificación de garantías de recuperación de cada una de las compaņías cedentes i.
vii) El Requerimiento por Exposición a Pérdidas por Calidad de Garantías Recabadas (R2), será el monto resultante de sumar el requerimiento por exposición al riesgo de la operación directa retenida R2D más el requerimiento por exposición al riesgo del reafianzamiento tomado retenido R2to.
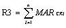
c) El Requerimiento por Riesgo de Suscripción (R3) se determinará como la suma de los Montos Afianzados Retenidos de Pólizas en Vigor Suscritas en Condiciones de Riesgo (MARCR) correspondientes a cada una de las pólizas en vigor que se encuentren en cualquiera de las siguientes condiciones:
1.- Para el caso de fianzas que requieran de garantías de recuperación y su emisión se base en garantías reales, el monto afianzado retenido no cubierto con las mismas.
2.- En el caso de fianzas que requieran de garantías de recuperación y su emisión se base en un análisis de acreditada solvencia que no se haya sustentado en lo previsto en las disposiciones legales aplicables, el monto afianzado retenido.
3.- El monto afianzado retenido en exceso del límite de acumulación de responsabilidades por fiado.
4.- Un porcentaje del monto afianzado retenido de pólizas en vigor correspondiente a fiados con antecedentes crediticios desfavorables, excepto aquellas que cuenten con garantías en efectivo. Para determinar la situación crediticia de los fiados así como los porcentajes aplicables a las obligaciones garantizadas de pagar, dar o hacer, las Instituciones deberán observar las disposiciones administrativas de carácter general que al efecto dé a conocer la Comisión.
El procedimiento de cálculo descrito en este inciso se define en la siguiente fórmula:

Donde:
n = número de pólizas en vigor suscritas bajo los supuestos considerados en el presente inciso.
Los montos o porciones de fianzas que hayan sido considerados para efectos del cálculo del Requerimiento por Riesgo de Suscripción (R3), no deberán ser considerados en el cálculo del Requerimiento por Exposición a Pérdidas por Calidad de Garantías Recabadas (R2).
OCTAVA.- El Ponderador de Calidad de Reafianzamiento (Pcr) al que se refiere el inciso a) de la Regla Séptima anterior se calculará sumando a la unidad la proporción que representan las responsabilidades por fianzas en vigor cedidas a los reaseguradores extranjeros no registrados conforme lo establecen las Reglas sobre el Registro General de Reaseguradoras Extranjeras para Tomar Reaseguro y Reafianzamiento del País (RFVCNR) en relación a las responsabilidades por fianzas en vigor retenidas (RFVR):

Donde:
RFVCNR = Responsabilidades por fianzas en vigor cedidas a reaseguradores extranjeros que operen reafianzamiento, no registrados conforme lo establecen las Reglas sobre el Registro General de Reaseguradoras Extranjeras para Tomar Reaseguro y Reafianzamiento del País.
RFVR = Responsabilidades por fianzas en vigor retenidas.
NOVENA.- Para efectos de lo dispuesto en el inciso b) de la Regla Séptima anterior, el índice de reclamaciones pagadas esperadas global de la compaņía (*), deberá determinarse conforme al siguiente procedimiento:
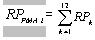
a) Se determinará el índice de severidad promedio (P), como el promedio de los últimos 24 meses, de los cocientes (*) que resulten de dividir el promedio móvil anual de las reclamaciones pagadas, procedentes del registro de las cuentas de orden (p), del mes de que se trate, entre el monto de las responsabilidades por fianzas en vigor (RFVi) de ese mismo mes, tal y como se muestra en la siguiente fórmula:

b) El promedio móvil anual de las reclamaciones pagadas al que se refiere el inciso anterior, se calculará como la suma de los movimientos mensuales de reclamaciones pagadas de los últimos doce meses transcurridos hasta el mes en el cual se va a estimar el cociente S, tal como se muestra a continuación:

Donde:
RPPMAi= Reclamaciones pagadas promedio móvil anual.
RPk= Reclamaciones pagadas movimiento mensual.
c) Al índice p se le adicionarán dos desviaciones estándar muestrales de los últimos 24 meses de los cocientes antes referidos (2sp), calculando la desviación estándar mediante la siguiente fórmula:

Donde:
sp = Desviación estándar del índice de severidad.
PK = Indice de severidad para el periodo k.
= Indice de severidad promedio.
N = Número de periodos considerado (24).
d) El índice de reclamaciones pagadas esperadas (S), será igual al resultado de sumar al índice de severidad promedio (
), dos desviaciones estándar muestrales tal y como se indica en la siguiente fórmula:

DECIMA.- Para el cálculo de los Requerimientos por Reclamaciones Recibidas con Expectativa de Pago (R1) y por Exposición a Pérdidas por Calidad de Garantías Recabadas (R2), deberán excluirse las fianzas o porciones de éstas, que cuenten con Provisión de Fondos.
Las Instituciones deberán registrar contablemente las responsabilidades por fianzas en vigor, las reclamaciones recibidas y las reclamaciones pagadas a las que se refieren las presentes Reglas, de conformidad con los criterios y procedimientos contables que al efecto dé a conocer la Comisión mediante disposiciones administrativas de carácter general.
La Comisión dará a conocer mediante disposiciones administrativas de carácter general, la forma y términos en que las instituciones de fianzas deberán reportar los cálculos e información correspondiente, en que se sustente la determinación del requerimiento mínimo de capital base de operaciones.
DECIMA PRIMERA.- El requerimiento por inversiones (RI) será igual a la cantidad que resulte de sumar el requerimiento por faltantes en la cobertura de la inversión de las reservas técnicas (RRC) y el requerimiento por el riesgo de crédito financiero (RRT):
a) El requerimiento por faltantes en la cobertura de la inversión de las reservas técnicas (RRT) será igual a la cantidad que resulte de aplicar, al monto total del faltante en la cobertura (T), al de moneda extranjera (E), al de moneda indexada (I), y al de liquidez (L), a la fecha de su determinación, los porcentajes que les correspondan de acuerdo a los establecidos en la siguiente tabla:
| Tipo de faltante | Porcentaje |
| Total | 100 |
| Moneda Extranjera | 8.0 |
| Moneda Indexada | 6.5 |
| Liquidez | 6.5 |

b) Para la determinación del requerimiento por el riesgo de crédito financiero (RRC), las Instituciones deberán clasificar los saldos de los diferentes instrumentos de inversión afectos a la cobertura de las reservas técnicas, a la fecha de su determinación, en atención al riesgo de crédito de los emisores de cada instrumento, en alguno de los siguientes grupos:
I. Valores emitidos o avalados por el Gobierno Federal; así como las demás inversiones autorizadas que se asimilen a este grupo.
II. Depósitos y valores a cargo de o garantizados o avalados por instituciones de crédito; valores a cargo de instituciones de seguros, de reaseguro y de fianzas; operaciones de descuento y redescuento realizados con las personas seņaladas en este numeral; operaciones de reporto sobre valores gubernamentales realizados con instituciones de crédito; así como las demás inversiones autorizadas que se asimilen a este grupo.
III. Valores, demás activos financieros y operaciones de descuento y redescuento no comprendidos en las fracciones I y II de este inciso, que cuenten con una calificación otorgada por una empresa calificadora de valores autorizada por la Comisión Nacional Bancaria y de Valores; así como productos derivados listados y las operaciones de reporto sobre valores gubernamentales realizados con casas de bolsa.
La Comisión dará a conocer, mediante disposiciones administrativas, los nombres de las agencias calificadoras de valores y las calificaciones mínimas que se considerarán para efectos de la calificación a que se refiere el párrafo anterior.
IV. Créditos, valores y demás activos financieros, así como las operaciones de descuento y redescuento no comprendidas en las fracciones I, II y III de este inciso.
El requerimiento por el riesgo de crédito financiero (RRC) se determinará aplicando a los saldos de los diferentes instrumentos de inversión afectos a la cobertura de las reservas técnicas, a la fecha de su determinación, conforme a la clasificación establecida en la presente Regla, los porcentajes que les correspondan de acuerdo a los establecidos en la siguiente tabla:
| Grupo | Porcentaje |
| I | 0 |
| II | 1.6 |
| II | 4.0 |
| IV | 8.0 |
Esto es, que el RRC será igual a:

Cuando los saldos de los diferentes instrumentos de inversión afectos a la cobertura de las reservas técnicas, a los que se aplicarán los porcentajes seņalados en la tabla anterior de la presente Regla, presenten un sobrante, éste no se considerará como elemento integrante de dichas inversiones.
DE LA DEDUCCION
DECIMA SEGUNDA.- El requerimiento mínimo de capital base de operaciones (RMCBO) será igual a la cantidad que resulte de aplicar al requerimiento bruto de solvencia (RBS) que se establece de la Sexta a la Décima Primera de las presentes Reglas, la siguiente deducción (D):
La deducción (D) será igual al saldo no dispuesto que reporte al cierre de cada trimestre la reserva de contingencia, más el costo de las coberturas de exceso de pérdida contratadas en reafianzamiento:
La deducción (D) a la que se refiere la presente Regla no podrá ser superior al monto del requerimiento bruto de solvencia que se establece de la Sexta a la Décima Primera de las presentes Reglas:

Asimismo, la deducción del costo de las coberturas de exceso de pérdida contratadas en reafianzamiento, no podrá exceder del monto del Requerimiento por Reclamaciones Recibidas con Expectativa de Pago (R1):

DECIMA TERCERA.- El cálculo del factor medio de calificación de garantías de recuperación (Yi), mediante el cual se determinará el factor medio de exposición al riesgo por calidad de garantías (FEi), al que se refiere el inciso b) de la Regla Séptima anterior, se hará conforme al siguiente procedimiento:
a) Se sumará el monto de las garantías de recuperación correspondiente a las fianzas en vigor, de la operación directa, al cierre del periodo que se reporta (MK) multiplicando cada una de ellas por la calificación de garantías de recuperación respectiva (YK).
b) Se sumará el monto de responsabilidades tomadas a otras instituciones de fianzas del país que se encuentren en vigor al cierre del periodo que se reporta (RFVTFi) multiplicando cada uno de dichos montos por el respectivo factor medio de calificación de garantías de recuperación (YK).
c) Se sumará el monto de responsabilidades tomadas a instituciones de seguros o reaseguro del país que se encuentren en vigor al cierre del periodo que se reporta (RFVTSi), multiplicando cada uno de dichos montos por el respectivo factor medio de calificación de garantías de recuperación (YSi).
d) Se sumará el monto de responsabilidades tomadas a instituciones del extranjero que se encuentren en vigor al cierre del periodo que se reporta (RFVTEi), multiplicando cada uno de dichos montos por el factor medio de calificación de garantías de recuperación (YEi) que se le asigne en función de los criterios que dé a conocer la Comisión para tales efectos, mediante disposiciones administrativas de carácter general.
e) Se sumarán las cantidades resultantes conforme a los incisos anteriores y se dividirán entre lo que resulte de sumar el monto de las garantías de recuperación correspondiente a las fianzas en vigor de la operación directa, al cierre del periodo que se reporta (Mk) más el monto total de las responsabilidades del reafianzamiento tomado, de fianzas que se encuentren en vigor al cierre del mismo periodo.

Para efectos del cálculo al que se refiere la presente Regla, la Comisión dará a conocer la tabla de calificación de garantías de recuperación, los factores medios de calificación de garantías de las instituciones, de seguros o reaseguro y del extranjero que, de manera obligatoria, deberán emplear las instituciones en el cálculo del factor medio de calificación de las garantías de recuperación (y).
DECIMA CUARTA.- En el caso de que se observe que las garantías reportadas por la institución de que se trate no corresponden a las garantías constituidas, la Comisión podrá asignar, para efectos de la determinación del Requerimiento por Exposición a Pérdidas por Calidad de Garantías Recabadas correspondiente a la operación directa (R2D), a que se refiere la Séptima de las presentes Reglas, un valor de uno al factor de exposición al riesgo por calidad de garantías (FEK). Lo anterior, con independencia de la aplicación de las sanciones que, en su caso, procedan de conformidad con lo previsto por la Ley.
DE LA INVERSION DEL REQUERIMIENTO MINIMO DE CAPITAL BASE DE OPERACIONES
CAPITULO PRIMERO
DE LOS ACTIVOS COMPUTABLES
DECIMA QUINTA.- Las instituciones deberán mantener invertidos, en todo momento los activos destinados a respaldar su requerimiento mínimo de capital base de operaciones, de conformidad con lo establecido en las presentes Reglas. Dichos activos serán adicionales de aquellos que se destinen para la cobertura de las reservas técnicas y de otros pasivos de las instituciones. La información relativa a la cobertura del requerimiento mínimo de capital base de operaciones deberá presentarse a la Comisión de conformidad con lo previsto en la Cuarta de las presentes Reglas.
DECIMA SEXTA.- Las instituciones deberán mantener invertidos, en todo momento, los activos computables al requerimiento mínimo de capital base de operaciones en:
a).- Valores, títulos, créditos y otros activos considerados y de acuerdo a los requisitos que en su caso se estipulen en las Reglas para la Inversión de las Reservas de Fianzas en Vigor y de Contingencia de las Instituciones de Fianzas, con excepción de las inversiones seņaladas en el artículo 79 Bis-1 de la Ley.
b).- Mobiliario y equipo, inmuebles, derechos reales, que no sean de garantía y acciones de las sociedades que se organicen exclusivamente para adquirir el dominio y administrar inmuebles que cumplan con los requisitos seņalados en la Vigésima Tercera y Vigésima Cuarta de las presentes Reglas.
c).- Gastos de establecimiento, de instalación y de organización, así como la suma de los saldos a cargo de agentes e intermediarios, documentos por cobrar y deudores diversos.
d).- Préstamos quirografarios, caja y bancos, deudores por responsabilidades de fianzas por reclamaciones pagadas, préstamos a personal, dividendos por cobrar sobre acciones y activos adjudicados. Adicionalmente a los activos seņalados en el párrafo anterior, las instituciones podrán considerar como activos computables al requerimiento mínimo de capital base de operaciones los siguientes:
1).- Los sobrantes que reporte la cobertura de inversión de las reservas técnicas al mes de que se trate.
2).- Los que expresamente y de manera específica, les autorice la Secretaría, oyendo previamente la opinión de la Comisión.
DE LA CUSTODIA Y ADMINISTRACION
DECIMA SEPTIMA.- Los títulos o valores a que se refieren estas Reglas tanto en moneda nacional como extranjera y en instrumentos referidos a la inflación que se operen en territorio nacional, deberán administrarse por instituciones de crédito, o por casas de bolsa y custodiarse por instituciones para el depósito de valores.
Las Instituciones deberán realizar contratos con los diferentes intermediarios financieros, en los que se establecerá como requisito la obligación de los mismos a formular estados de cuenta mensuales en donde se identifiquen de manera individualizada los instrumentos depositados, con el objeto de que las instituciones presenten a la Comisión, una copia de dichos estados de cuenta de conformidad con lo previsto en la Cuarta de las presentes Reglas.
Tratándose de inversiones en moneda extranjera, que se operen fuera del territorio nacional, deberán fungir como intermediarias financieras las entidades financieras mexicanas o las entidades financieras del exterior que sean filiales de ellas. Estas podrán utilizar como custodios a los organismos depositarios autorizados dentro de la jurisdicción del país que operen.
DE LOS LIMITES DE INVERSION
DECIMA OCTAVA.- Las instituciones, al llevar a cabo las inversiones a que se refieren las presentes Reglas, deberán observar los siguientes límites respecto a su requerimiento mínimo de capital base de operaciones:
I.- Por tipo de valores, títulos, bienes, créditos, reportos u otros activos:
a).- Valores emitidos o respaldados por el Gobierno Federal, hasta el 100%;
b).- Valores emitidos o respaldados por instituciones de crédito, hasta el 80%;
c).- Valores emitidos por entidades distintas al Gobierno Federal e instituciones de crédito, hasta el 70%;
d).- Operaciones de descuento y redescuento, hasta el 20%;
e).- Préstamos con garantía prendaria de títulos o valores, hasta el 20%;
f).- Préstamos hipotecarios, hasta el 20%;
g).- La suma de los activos mencionados en el inciso b) de la Décima Sexta de las presentes Reglas, hasta el 60%;
h).- La suma de los activos mencionados en el inciso c) de la Décima Sexta de las presentes Reglas, hasta el 30%;
i).- Préstamos quirografarios, hasta el 5%;
j).- Caja y bancos, hasta el 100%;
k).- Deudores por responsabilidades de fianzas por reclamaciones pagadas, hasta el 60%;
l).- Préstamos al personal, hasta el 15%;
m).- Dividendos por cobrar sobre acciones, hasta el 60%;
n).- Activos adjudicados, hasta el 30%;
o).- Primas por cobrar menores de 30 días, hasta el 100%, y
p).- Operaciones de reporto, hasta el 60%.
II.- Por emisor o deudor:
a).- En acciones y valores, avalados o aceptados u operaciones de descuento y redescuento, créditos o préstamos por o a favor de sociedades mercantiles o entidades financieras que por sus nexos patrimoniales con la institución, constituyan riesgos comunes, hasta el 20%;
Para efectos de este inciso se entenderá como nexo patrimonial el que existe entre la institución y las personas morales siguientes:
a.1) Las que participen en su capital social, con excepción de la participación que realicen en forma temporal, mediante la adquisición de acciones listadas en la Bolsa Mexicana de Valores;
a.2) En su caso, las demás entidades financieras que formen parte del grupo financiero al que pertenezca la institución de que se trate;
a.3) En su caso, entidades financieras que participen en el capital social de entidades financieras que formen parte del grupo financiero al que pertenezca la propia institución, con excepción de la participación que se realice en forma temporal, mediante la adquisición de acciones listadas en la Bolsa Mexicana de Valores, y
a.4) En su caso, entidades financieras que directa o indirectamente participen en el capital social de la entidad financiera que participe en el capital social de la institución de que se trate, con excepción de la participación que se realice en forma temporal, mediante la adquisición de acciones listadas en la Bolsa Mexicana de Valores.
b).- En acciones y valores avalados o aceptados u operaciones de descuento y redescuento, créditos o préstamos por o a favor de sociedades relacionadas entre sí, hasta el 36%.
Para efectos de este inciso se entenderá como sociedades relacionadas entre sí aquellas sociedades mercantiles que formen un conjunto o grupo en las que por sus nexos patrimoniales o de responsabilidad, la situación financiera de una o varias de ellas pueda influir en forma decisiva en la de las demás, o cuando la administración de dichas sociedades mercantiles dependa directa o indirectamente de una misma persona.
Para los activos mencionados en el segundo párrafo de la Décima Sexta de las presentes Reglas, las instituciones deberán observar los siguientes límites respecto a su requerimiento mínimo de capital base de operaciones:
1. La suma de los activos mencionados en el numeral 1) de la Décima Sexta de las presentes Reglas, hasta el 100%.
2. Los activos mencionados en el numeral 2) de la Décima Sexta de las presentes Reglas, hasta el porcentaje que expresamente y de manera específica, les autorice la Secretaría, oyendo previamente la opinión de la Comisión.
DEL MARGEN DE SOLVENCIA
CAPITULO PRIMERO
DECIMA NOVENA.- Se considera margen de solvencia (MS) a la cantidad que resulta de deducir al monto de los activos computables al requerimiento mínimo de capital base de operaciones (AcRMCBO) el monto del requerimiento mínimo de capital base de operaciones (RMCBO):
Cuando el margen de solvencia adopte valores negativos, se entenderá que existe un faltante en la cobertura del requerimiento mínimo de capital base de operaciones de la institución de que se trate. Cuando el margen de solvencia adopte valores positivos, la institución podrá considerar el resto de los activos computables al requerimiento mínimo de capital base de operaciones, en exceso a las limitantes establecidas en la Décima Octava de las presentes Reglas, siempre y cuando dichos activos sean adicionales de aquellos que se destinen para la cobertura de las reservas técnicas y de otros pasivos, para calcular el margen de solvencia global:
Donde:
MSG = Margen de solvencia global.
AcRMCBO = Activos computables al RMCBO, de acuerdo a las limitantes establecidas en la Décima Séptima de las presentes Reglas.
AcExcRMCBO = Activos computables al RMCBO, en exceso a las limitantes establecidas en la Décima Séptima de las presentes Reglas.
RMCBO = Requerimiento mínimo de capital base de operaciones.
VIGESIMA.- Cuando la Comisión advierta que una institución presenta un faltante en la cobertura del requerimiento mínimo de capital base de operaciones en los términos previstos en estas Reglas, la propia Comisión procederá conforme a lo dispuesto en los artículos 104, 104 Bis, 104 Bis-1 y 105 fracción II de la Ley.
DE LAS SANCIONES
VIGESIMA PRIMERA.- Cuando la Comisión determine faltantes en la cobertura del requerimiento mínimo de capital base de operaciones de conformidad con lo que establecen las presentes Reglas, lo hará del conocimiento de la institución de que se trate, para que exponga lo que a su derecho convenga.
Si quedó comprobado el faltante, sin perjuicio de que la institución de que se trate proceda a cubrirlo, se le impondrá una sanción cuyo monto se determinará multiplicando el faltante, deduciendo del mismo el faltante que, en su caso, reporte la cobertura de reservas técnicas a esa fecha, por un factor de 1 hasta 1.25 veces, la tasa promedio ponderada de rendimiento equivalente a la tasa de descuento de los Certificados de la Tesorería de la Federación a veintiocho días o al plazo que sustituya a éste en caso de días inhábiles, en colocación primaria emitidos en el mes de que se trate, publicada en dos periódicos de amplia circulación en el país. En caso de que se dejen de emitir dichos certificados, se deberá utilizar como referencia el instrumento que los sustituya.
En la determinación del factor seņalado en el párrafo anterior, la Comisión deberá tomar en cuenta las condiciones e intención del infractor, así como la importancia de la infracción y la conveniencia de evitar prácticas tendentes a contravenir las disposiciones establecidas en las presentes Reglas.
Asimismo, la reincidencia se podrá castigar con una multa hasta por el doble del factor máximo establecido en la presente Regla.
El cálculo de la sanción, se hará multiplicando el faltante determinado por el factor que corresponda de la tasa de interés determinada, conforme al criterio establecido en la presente Regla, así como por un periodo completo de noventa días correspondientes al trimestre en que ocurrió el faltante, y dividiendo el producto resultante entre trescientos sesenta.
Las instituciones deberán enterar el importe de la sanción a la Tesorería de la Federación en un plazo máximo de quince días hábiles, contado a partir de la fecha en que reciban la respectiva comunicación.
VIGESIMA SEGUNDA.- La Comisión podrá disminuir la sanción a que se refiere la Regla Vigésima Primera anterior, en caso de que los faltantes se originen por situaciones críticas de las instituciones, o por errores u omisiones de carácter administrativo en los que a criterio de la propia Comisión no haya mediado mala fe.
DE LOS REQUISITOS DE OPERACION DE LAS SOCIEDADES INMOBILIARIAS DE LAS QUE SEAN ACCIONISTAS MAYORITARIOS LAS INSTITUCIONES DE FIANZAS
CAPITULO UNICO
VIGESIMA TERCERA.- Las instituciones darán aviso a la Comisión acerca de la constitución de sociedades inmobiliarias en las que participen como accionistas y sean titulares de cuando menos el cincuenta y uno por ciento de las acciones. Asimismo, se dará aviso cuando al adquirir acciones de sociedades inmobiliarias ya constituidas, las afianzadoras que sean socias alcancen la mayoría antes mencionada. En todos estos casos las sociedades inmobiliarias estarán sujetas a la inspección y vigilancia de la propia Comisión.
Cuando las Instituciones constituyan alguna sociedad inmobiliaria con la participación de acciones en los términos del párrafo anterior, acompaņarán al citado aviso, copia certificada de la escritura constitutiva y estatutos sociales que regirán el funcionamiento de la sociedad inmobiliaria correspondiente así como sus modificaciones, las cuales deberán presentarse a la referida Comisión en un plazo de diez días hábiles de haberse efectuado. La misma Comisión podrá en cualquier momento, ordenar modificaciones o correcciones a la escritura constitutiva y a los estatutos sociales de la sociedad inmobiliaria, si considera que no se apegan a lo dispuesto por la Ley o a las presentes Reglas.
VIGESIMA CUARTA.- Las sociedades inmobiliarias deberán constituirse en forma de sociedad anónima de capital fijo o variable, organizarse y funcionar con apego a la Ley General de Sociedades Mercantiles y ajustarse a lo siguiente:
1.- Su objeto social será exclusivamente la adquisición, arrendamiento, administración, aprovechamiento, explotación, enajenación y uso de inmuebles, así como la ejecución de obras de adaptación, conservación, construcción, demolición, mantenimiento y modificación que sobre éstos se realicen;
2.- Sus acciones serán nominativas y para la transmisión de las que sean propiedad de las instituciones de fianzas, se requerirá dar previo aviso a la Comisión con treinta días de anticipación a dicha transmisión;
3.- El cuarenta y nueve por ciento de las acciones representativas del capital pagado de las sociedades inmobiliarias podrá ser adquirido por personas físicas o morales de nacionalidad mexicana o extranjera. En ningún caso podrán participar en el capital de dichas instituciones, ya sea directamente o a través de interpósita persona, gobiernos o dependencias oficiales extranjeros;
4.- Tendrán su domicilio social dentro del territorio nacional;
5.- No podrán ser comisarios propietarios o suplentes de las sociedades inmobiliarias los miembros de su consejo de administración, sus auditores externos, así como los funcionarios y empleados de dichas sociedades;
6.- Se abstendrán de invertir en acciones u otros valores emitidos por sus accionistas e igualmente en empresas controladas por ellos o por el mismo grupo financiero al que pertenezcan;
7.- Sólo podrán obtener créditos de terceros en cumplimiento a su objeto social y no podrán obtener ningún tipo de crédito de su accionista mayoritario. Podrán otorgar préstamos a sus empleados en cumplimiento de las disposiciones laborales respectivas. Asimismo, podrán realizar gastos con el único propósito de dar cumplimiento a su objeto social y de acuerdo a las necesidades que el ejercicio del mismo demande;
8.- Las sociedades inmobiliarias deberán registrar en su contabilidad los superávit por revaluación de los inmuebles de su propiedad conforme a las disposiciones aplicables a las instituciones;
9.- Las sociedades inmobiliarias que hayan optado por capitalizar el superávit por revaluación de inmuebles, deberán insertar al pie de su estado de situación financiera, una nota en los siguientes términos:
"El capital pagado incluye la cantidad de $_______moneda nacional, originada por la capitalización parcial del superávit por revaluación de inmuebles";
10.- Las prohibiciones a que se refiere el texto de las fracciones I, IV, V, VIII, XIII y XIV del artículo 60 de la Ley serán aplicables a las sociedades inmobiliarias;
11.- En el caso de venta de un inmueble cuya revaluación haya sido capitalizada, la sociedad inmobiliaria estará obligada a disminuir el capital social pagado por el importe del superávit por revaluación del inmueble vendido que haya capitalizado con anterioridad o bien, reponer esa disminución de capital con reservas de capital, con utilidades de ejercicios anteriores no distribuidas o con nuevas aportaciones, sin que ninguna de esas operaciones dé lugar a la entrega de nuevas acciones a las personas físicas o morales que participen en el capital, y
12.- Independientemente de los requisitos anteriores, las sociedades inmobiliarias deberán proporcionar tanto a la Secretaría como a la Comisión, en la forma y términos que al efecto establezcan, los informes que sobre su organización, operaciones, contabilidad, inversiones o patrimonio le soliciten para fines de regulación, supervisión, inspección, vigilancia, estadística y demás funciones que conforme a las leyes, estas reglas u otras disposiciones administrativas, les corresponda ejercer.
PRIMERA.- Las presentes Reglas entrarán en vigor a partir del día hábil siguiente al de su publicación en el Diario Oficial de la Federación.
SEGUNDA.- Se abrogan las Reglas para el Requerimiento Mínimo de Capital Base de Operaciones de las Instituciones de Fianzas, publicadas en el Diario Oficial de la Federación el 2 de mayo de 1997, modificadas mediante Acuerdos publicados en el mismo Diario el 17 de noviembre de 1998 y 12 de abril de 1999; sin embargo, quedan en vigor para el solo efecto de aplicar las sanciones previstas en la Ley Federal de Instituciones de Fianzas a aquellas instituciones de fianzas que no hubiesen dado debido cumplimiento a las mismas y para que los procedimientos administrativos derivados de su inobservancia se continúen hasta su conclusión.
TERCERA.- Las instituciones de fianzas procederán a determinar el Requerimiento Mínimo de Capital Base de Operaciones conforme a lo previsto en las presentes Reglas a partir del 1o. de abril de 2002.
CUARTA.- La determinación del Requerimiento por Riesgo de Suscripción (R3), contenido en el inciso c) numeral 3, de la Séptima de estas Reglas, se efectuará con las pólizas que se emitan a partir del 1o. de abril del 2002.
QUINTA.- Para efectos de la determinación del Requerimiento por Riesgo de Suscripción (R3), contenido en el inciso c) numeral 3, de la Séptima de estas Reglas, se considerarán por cada fiado todas las pólizas que tengan un monto afianzado retenido en exceso del límite de acumulación de responsabilidades, excluyendo los montos que se encuentren sujetos a un plan de regularización a la entrada en vigor del presente Acuerdo.
SEXTA.- Las disposiciones administrativas emitidas con anterioridad a la fecha de entrada en vigor de estas Reglas, se seguirán aplicando en tanto no se opongan a lo dispuesto en las mismas.
Atentamente
Sufragio Efectivo. No Reelección.
Las presentes Reglas se expiden en México, Distrito Federal, a los veintidós días del mes de marzo de dos mil dos.- En ausencia del C. Secretario y de conformidad con el artículo 105 del Reglamento Interior de la Secretaría de Hacienda y Crédito Público, el Subsecretario de Hacienda y Crédito Público, Agustín Guillermo Carstens Carstens.- Rúbrica.