Al margen un sello con el Escudo Nacional, que dice: Estados Unidos Mexicanos.- Secretaría de Hacienda y Crédito Público.
ACUERDO POR EL QUE ESTA SECRETARIA CON FUNDAMENTO EN LOS ARTICULOS 6o. FRACCION XXXIV DE SU REGLAMENTO INTERIOR, 1o., 16 FRACCION II, 46, 49, 55, 67 Y 86 DE LA LEY FEDERAL DE INSTITUCIONES DE FIANZAS Y DESPUES DE ESCUCHAR LA OPINION DE LA COMISION NACIONAL DE SEGUROS Y FIANZAS, MODIFICA LA SEPTIMA, CUARTA TRANSITORIA Y QUINTA TRANSITORIA DE LAS REGLAS PARA LA CONSTITUCION, INCREMENTO Y VALUACION DE LAS RESERVAS TECNICAS DE FIANZAS EN VIGOR Y DE CONTINGENCIA DE LAS INSTITUCIONES DE FIANZAS, PUBLICADAS EN EL DIARIO OFICIAL DE LA FEDERACION EL 1 DE JULIO DE 1998 Y MODIFICADAS MEDIANTE ACUERDO PULICADO EN EL MISMO DIARIO EL 18 DE NOVIEMBRE DE 1998.
SEPTIMA.- .........................................................................................................................................
b).- Tratándose de las demás fianzas que no correspondan a las citadas en el inciso anterior, la prima base será el resultado de aplicar al monto afianzado suscrito (MAS) el respectivo índice máximo probable de reclamaciones pagadas esperadas por ramo o subramo de fianza correspondiente a la afianzadora de que se trate (wCi), durante los n meses anteriores, sin que éste pueda en ningún momento ser inferior al respectivo índice máximo probable de reclamaciones pagadas esperadas por ramo o subramo de fianza correspondiente al mercado (w Mi), el cual emitirá la Comisión mediante disposiciones administrativas, tal como se indica a continuación:
El índice máximo probable de reclamaciones pagadas esperadas (wCi) se calculará de la siguiente forma: se estimará el índice de severidad promedio (
), como el promedio de los últimos n meses, de los cocientes que resulten de dividir el promedio móvil anual de las reclamaciones pagadas procedentes del registro de las cuentas de orden (RPTPMi), en un mes, entre el monto de las responsabilidades por fianzas en vigor retenidas (RFVRTi) de ese mismo mes, tal y como se muestra en la siguiente fórmula:
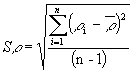
A dicho índice se le adicionarán dos desviaciones estándar muestrales de los últimos n meses de los cocientes antes referidos (
), calculando la desviación estándar mediante la siguiente fórmula:
Donde:
= Desviación estándar del índice de severidad.
= Indice de severidad para el periodo i.
= Indice de severidad promedio.
n = Número de periodos considerados para el cálculo.
El número de periodos (n), que se utilizará para estos efectos, será el que establezca la Comisión, mediante disposiciones administrativas de carácter general, de acuerdo a la vigencia promedio de las pólizas en cada ramo, subramo o tipo de fianza.
A partir de los datos anteriores se obtendrá el índice máximo probable de reclamaciones pagadas esperadas (wCi) tal y como se indica en la siguiente fórmula:
Para aquellas fianzas cuya naturaleza y características particulares así lo ameriten, las instituciones podrán, previa autorización de la Comisión, utilizar para el cálculo del índice máximo de reclamaciones pagadas esperadas (wCi) a que se refiere la presente Regla, un promedio móvil (RPTPMi) con periodicidad mayor a un aņo, así como un índice de severidad promedio (
) determinado con promedios calculados con periodos mayores a los n meses que defina la Comisión.
Para efecto de las presentes Reglas, se entenderá como monto afianzado suscrito (MAS) al monto de responsabilidad total que asume una afianzadora al momento de la suscripción.
CUARTA TRANSITORIA.- Las instituciones que al cierre de 1999 aún no cuenten con estadísticas propias suficientes para calcular el índice de reclamaciones pagadas esperadas por ramo, subramo o tipo de fianzas (wCi), para realizar el cálculo de la prima base, conforme a lo establecido en el inciso b) de la Séptima de las presentes Reglas, deberán utilizar la estadística que resulte de la experiencia de la propia institución, debiendo ésta corresponder al menos a la experiencia acumulada durante 1999, complementada con la estadística del mercado, la cual será dada a conocer por la Comisión mediante disposiciones administrativas de carácter general.
QUINTA TRANSITORIA.- Para el caso de las instituciones que no cuenten con un mínimo de 12 meses de operación para realizar el cálculo del índice máximo probable de reclamaciones pagadas esperadas, conforme a lo establecido en la Séptima de las presentes Reglas, deberán utilizar el índice máximo probable de reclamaciones pagadas esperadas que se calcule a partir de la información del mercado afianzador mexicano para cada uno de los ramos, subramos o tipos de fianzas a que se refieren las presentes Reglas, los cuales dará a conocer la Comisión mediante disposiciones administrativas. Las instituciones que se ubiquen en este supuesto deberán remitir a la Comisión un plan en el que seņalen las acciones específicas que adoptarán para la creación de la estadística necesaria para el cálculo del índice de reclamaciones pagadas esperadas propio, así como el calendario para realizar estos trabajos.
PRIMERO.- El presente Acuerdo entrará en vigor a partir del 1 de abril del aņo 2000, por lo que las instituciones de fianzas deberán actualizar y registrar ante la Comisión, las modificaciones necesarias a sus notas técnicas antes de la citada fecha.
SEGUNDO.- En términos del presente Acuerdo se modifican la Séptima, Cuarta Transitoria y Quinta Transitoria, de las Reglas para la Constitución, Incremento y Valuación de las Reservas Técnicas de Fianzas en Vigor y de Contingencia de las Instituciones de Fianzas, dadas a conocer en el Diario Oficial de la Federación del 1 de julio de 1998 y modificadas mediante Acuerdo publicado en el propio Diario del 18 de noviembre de ese mismo aņo.
TERCERO.- Las Reglas que se modifican conforme al presente Acuerdo quedan en vigor para el solo efecto de aplicar las sanciones previstas en la Ley a aquellas instituciones de fianzas que no hubiesen dado debido cumplimiento a las mismas y para que los procedimientos administrativos derivados de su inobservancia se continúen hasta su conclusión.
CUARTO.- Las disposiciones administrativas emitidas con anterioridad a la fecha de entrada en vigor de este Acuerdo, se seguirán aplicando en tanto no se opongan a lo dispuesto en el mismo.
Atentamente
Sufragio Efectivo. No Reelección.
El presente Acuerdo se emite en México, Distrito Federal, a los veintidós días del mes de diciembre de mil novecientos noventa y nueve.- En ausencia del C. Secretario y de conformidad con el artículo 105 del Reglamento Interior de la Secretaría de Hacienda y Crédito Público, el Subsecretario de Hacienda y Crédito Público, Martín Werner.- Rúbrica.